|
|
|
Проголосуйте за это произведение |
Проект - "Парниковая катастрофа"
Наука и человечество
Проект стартовал 7 октября 2000 года
Парниковая катастрофа
В конце 80-х - начале 90-х годов в литературе активно обсуждалась проблема увеличения среднепланетарной температуры Земли, связанного с ростом концентрации СО 2 в атмосфере в результате сжигания углеводородного топлива (угля, нефти, газа), - так называемый "парниковый эффект".
Господствующей в тот момент являлась гипотеза, предполагавшая, что в результате повышения среднепланетарной температуры и концентрации СО 2 увеличится скорость фотосинтеза, что, в свою очередь, должно будет привести к стабилизации среднепланетарной температуры Земли и концентрации СО 2 на новом, более высоком уровне .
Целью нашей работы (Лаборатория биофизики биоценозов ИБК РАН) было определение равновесных параметров атмосферы Земли (температуры, концентрации СО 2 ) при условии продолжающегося сжигания углеводородного топлива (уголь, нефть, газ и др.). Планировалось рассмотреть несколько сценариев развития мировой энергетики, а также максимально подробно учесть различные процессы, происходящие в живой и неживой природе Земли.
Проведенный анализ литературы показал, что, несмотря на большое количество научных публикаций о парниковом эффекте, среди них практически отсутствовали междисциплинарные работы, в которых делались бы попытки построения интегральной модели данного явления, включающей процессы в живой и неживой природе.
Более того, выяснилось, что в этой области существует немало ошибочных, но, при этом, благодаря популярным изданиям, устоявшихся взглядов. Концептуально (к 1992 г.) проблема описания парникового эффекта практически находилась в том же состоянии, в котором она находилась в конце 50-х - начале 60-х годов (Будыко).
Основные результаты, полученные в ходе исследования.
Практически сразу был установлен факт значительной (на несколько порядков) недостаточности биологических механизмов изъятия СО 2 из атмосферы по отношению к его техногенному выбросу. Действительно, общая продукция органических веществ в результате процессов фотосинтеза (в пересчете на углерод) составляет около 43 млрд. т/год (БСЭ, углерод), что выше уровня техногенного выброса СО 2 в атмосферу (1.8 млрд т/год). Однако большая часть связанного углерода, благодаря процессам дыхания, гниения, пожарам и т. д., снова возвращается в атмосферу в виде СО 2 . Разница между биогенным связыванием (фотосинтезом) СО 2 и выделением связанного в результате фотосинтеза СО 2 (дыхание, пожары и т.п.) невелика и составляет всего 45 млн. т/год, что почти в 50 раз меньше уровня техногенного выброса СО 2 в атмосферу (см. приложение 3 ).
К сожалению, во многих публикациях по экологии (особенно в научно-популярных) сравниваются величины общей продукции органических веществ в результате фотосинтеза и техногенного выброса СО 2 , что создает иллюзию тривиальной обратимости современных изменений в атмосфере Земли.
Примечание: Здесь и в приложении все величины указаны в пересчете на углерод. В приложении, кроме того, все величины даны в пересчете на 1 см 2 поверхности Земли (510 млн. км 2 = 0.51х10 19 см 2).
КРУГОВОРОТ УГЛЕРОДА


Была проанализирована роль различных биоценозов в долговременном извлечении СО 2 из атмосферы. Вопреки достаточно распространенному мнению, что "лес - легкие планеты", оказалось, что роль биоценозов лесов в долговременном связывании СО 2 крайне мала, поскольку практически весь связанный благодаря фотосинтезу углерод возвращается в атмосферу в виде СО 2 вследствие процессов дыхания, гниения отмирающих листьев и древесины, а также лесных пожаров.
Для долговременного извлечения СО 2 из атмосферы необходимо, чтобы значительная часть связанного в результате процессов фотосинтеза углерода оказывалась недоступна для процессов окисления. Такие условия существуют только в биоценозах болот и биоценозах тропических морей (см. приложение 4 ).
В биоценозе болота отмирающая растительность попадает в стоячую воду с крайне низким содержанием растворенного кислорода и накапливается там, практически не разлагаясь (частичное анаэробное разложение с образованием метана не меняет общей картины). Накапливающиеся в болотах частично разложившиеся остатки растительности образуют торфяные пласты, из которых впоследствии образуются месторождения бурого и каменного угля.
В настоящее время общая площадь болот на Земле сократилась почти в два раза и продолжает сокращаться в результате их осушения. Соответственно уменьшается количество извлекаемого из атмосферы СО 2 . Следует отметить, что зачастую осушение болот сопровождается вымиранием видов, приспособленных к существованию в определенных условиях конкретных болот, расположенных в конкретной климатической зоне. Поэтому восстановление площади болот связано сегодня не только с трудностью изъятия земель из сельскохозяйственного оборота, но и невозможностью восстановления в ряде случаев полноценных биоценотических сообществ.
В биоценозах тропических морей изъятие СО 2 из океанической воды, куда он попадает из атмосферы, происходит несколько иным образом. Углекислый газ используется в качестве "строительного материала" при образовании известковых раковин и чехлов. Практически все карбонаты земной коры (известняки, доломиты, мрамор, мел и т.д.) имеют биогенное происхождение. Среди наиболее важных климатообразующих видов отметим коралловые полипы и фораминиферовый планктон (всего около 80 видов).
Следует отметить, что состояние климатообразующих биоценозов тропических морей изучено слабо. Имеются разрозненные сведения о гибели коралловых рифов. Систематические наблюдения состояния фораминиферового микропланктона не проводятся, хотя можно предположить, что в результате сброса гербицидов и пестицидов в Мировой океан одним из наиболее уязвимых компонентов биоценоза тропических морей окажется именно фораминиферовый планктон.
Отметим, что нами, по-видимому, впервые было введено понятие климатообразующих биоценозов (видов) и объединены проблемы биоразнообразия и устойчивости климата Земли.
Примечание: В Приложении 4 показаны основные процессы, влияющие на концентрацию СО 2 в атмосфере Земли. Стрелками обозначены причинно-следственные связи между процессами. Красными стрелками - прямое действие, синими - обратное (тормозящее). Фигурка человека обозначает антропогенное воздействие.
Вопреки распространенному мнению, что парниковый эффект лишь незначительно "подправляет" температуру, которая, в основном, определяется интенсивностью солнечного излучения, падающего на ту или иную планету, оказалось, что "парниковый эффект" способен изменять температуру планеты на несколько сотен градусов. Например, среднепланетарная температура Венеры при параметрах атмосферы, аналогичных земным, должна была бы быть всего на 50 0 С выше, чем на Земле (см. приложение 5). Однако, как известно, среднепланетарная температура Венеры составляет почти 500 0 С. Таким образом, за счет сильного парникового эффекта температура поверхности Венеры увеличивается более, чем на 400 0 С.
Повышение среднепланетарной температуры Земли даже на 50 0 С имело бы катастрофические последствия для человеческой цивилизации. Повышение среднепланетарной температуры на 150 0 С, по-видимому, сделало бы невозможным существование жизни на Земле (по меньшей мере, в ее нынешней форме). Поэтому для обозначения такого сценария изменения климата Земли в результате повышения концентрации СО 2 , при котором рост среднепланетарной температуры составит 50 0 С и более, нами введено понятие "Парниковой катастрофы".
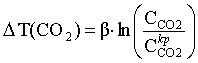
Для прогнозирования скорости изменения среднепланетарной температуры Земли важно иметь хотя бы грубую количественную оценку зависимости среднепланетарной температуры от концентрации СО 2 в атмосфере. К сожалению, существующие модели атмосферы, которые создавались преимущественно для задач метеорологии, не дают однозначного ответа на этот вопрос.
Нами была предложена сравнительно простая модель, позволившая дать количественную оценку влияния концентрации парниковых газов на среднепланетарную температуру

где D Т (CO2) - прирост температуры поверхности планеты за счет парникового эффекта,
С со 2 - концентрация парниковых газов у поверхности планеты, С кр со 2 - концентрация парниковых газов, при которой атмосфера поглощает половину длинноволнового (инфракрасного) излучения поверхности планеты, b - коэффициент пропорциональности, имеющий размерность температуры
и зависящий от таких универсальных параметров, как: m co2, - молярная масса парникового газа, с P - изобарная теплоемкость атмосферы , R0 - универсальная газовая постоянная, T - температура планеты, лишенной парникового эффекта. Для Земли и Венеры коэффициенты b примерно равны и составляют 37 0 С.
Формула (1) дает правильное значение современной среднепланетарной температуры, как для Земли, так и для Венеры (см. приложение 6). Изменение среднепланетарной температуры Земли в соответствии с формулой (1) должно было бы составить (за время инструментальных наблюдений концентрации СО 2 ) около 8 0 С.
Мы получили довольно большое различие между расчетным значением парникового эффекта (8 0 С) и реально наблюдаемым повышением среднепланетарной температуры Земли (1-2 0 С) (по различным данным). Существует две основные причины этого:
Конечно, поступление в настоящее время аэрозольных частиц в атмосферу Земли происходит в меньших количествах, чем при обмене ядерными ударами. Вместе с тем, масштабы такого аэрозольного загрязнения атмосферы (с учетом эффектов накопления) сравнимы с разовыми уровнями поступления аэрозольных частиц во время ядерной войны (см. приложение 8 ).
Среди источников аэрозольных частиц особо следует выделить проведение наземных ядерных испытаний, проводившихся в период с 1945 по 1965 год и быстрое развитие реактивной гражданской авиации в период до 1970 года (нефтяной кризис), поскольку данные источники аэрозольного загрязнения атмосферы приводят к непосредственному поступлению сажевых аэрозольных частиц в верхние слои атмосферы (стратосферу). Возможно, именно эти факторы привели к относительной стабилизации (и даже к снижению в приполярных областях) среднепланетарной температуры в период с 40-х по 70-е годы 20-го века.
Следует подчеркнуть, что создание строгой количественной модели изменения среднепланетарной температуры Земли, учитывающей наряду с ростом концентрации СО 2 в атмосфере аэрозольное загрязнение ее верхних слоев, а также и другие факторы, такие, как инерционность изменения температурного режима Мирового океана, представляет собой весьма сложную задачу, для решения которой требуется объединение усилий специалистов самых различных областей научного знания.
На основе имеющихся данных о ежегодном техногенном поступлении СО 2 в атмосферу построена модель изменения среднепланетарной температуры Земли для двух сценариев развития мировой энергетики. Первый сценарий - "оптимистический", предполагает, что техногенный выброс СО 2 в атмосферу не будет увеличиваться со временем, а будет зафиксирован на современном уровне. Второй сценарий - "реалистический", предполагает, что поступление СО 2 в атмосферу будет расти с той же скоростью, что и в настоящее время (техногенный выброс СО 2 удваивается каждые 50 лет). "Пессимистический" сценарий, предполагающий ускорение техногенного выброса СО 2 , нами не рассматривался. На основе рассмотренных сценариев роста техногенного выброса СО 2 были получены следующие оценки времени существования человеческой цивилизации: (Табл1.)
Таблица 1.
|
Сценарии развития мировой энергетики |
Критическая стадия Парниковой катастрофы D Т = 50 0 С |
Терминальная стадия Парниковой катастрофы D Т = 150 0 С |
|
|
Оптимистический сценарий техногенный выброс СО 2 останется постоянным (первое удвоение концентрации СО 2 произойдет через 100 лет). |
300 лет |
6000 лет |
|
|
Реалистический сценарий техногенный выброс СО 2 будет расти теми же темпами, что и сегодня (удвоение концентрации СО 2 будет происходить каждые 50 лет).
|
100 лет |
300 лет |
|
Отметим, что учет тепловой инерции Мирового океана и аэрозольного загрязнения верхних слоев атмосферы, в силу относительно малых характерных времен этих процессов, не способен принципиально изменить приведенные оценки, хотя и несколько отдаляет времена катастрофических изменений климата Земли.
Показано, что природные (неантропогенные) источники поступления СО 2 в атмосферу могут существенно ускорить рост среднепланетарной температуры Земли. Среди таких источников особо следует выделить следующие:
Общим свойством вышеперечисленных потенциальных природных источников СО 2 является наличие сильной положительной обратной связи "температура - концентрация СО 2 ", что может привести к лавинообразному росту концентрации СО 2 в атмосфере даже при условии полного отказа от сжигания углеродсодержащего минерального топлива (уголь, нефть, газ). В сочетании с разрушением природных биосистем, участвующих в извлечении СО 2 из атмосферы, это может привести к необратимому изменению химического состава атмосферы и климата Земли (см. приложение 4 ).
В этом случае физико-химические параметры на поверхности Земли будут близки к параметрам, существующим в настоящий момент на поверхности Венеры.
Парадоксальным следствием глобального повышения температуры Земли может стать наступление "ледникового периода" на севере Евразии и Америки в самом недалеом будущем.
Действительно, картина течений в Северной Атлантике (см. приложение 9) определяется соотношением плотностей вод Лабрадорского течения и течения Гольфстрим. Если холодные, но, при этом, более пресные воды Лабрадорского течения оказываются плотнее более теплых и соленых вод Гольфстрима, то формируется картина течений, характерная для межледниковья. Лабрадорское течение как бы подныривает под Гольфстрим (Рис.1. приложения 9), а Гольфстрим (Североатлантическое течение) беспрепятственно несет свои воды в Ледовитый океан, "обогревая" северные районы Евразии и Америки.
Распреснение Ледовитого океана в результате таяния Гренландского ледника и общего увлажнения климата при повышении среднепланетарной температуры Земли может привести к еще большему распреснению вод Лабрадорского течения и снижению их плотности. Если плотность вод Лабрадорского течения станет ниже плотности вод Гольфстрима, то Лабрадорское течение поднимется на поверхность, перекрывая путь Гольфстриму на Север (Рис. 2. прилоения 9). Сформируется картина течений, характерная для ледниковых периодов. В результате подобной перестройки течений нарушается меридиональный перенос тепла между тропическими и полярными областями. На севере Евразии и Америки температура понизится, а в экваториальной зоне возрастет.
Такое изменение климата может произойти довольно быстро (в течение 2-5 лет) и иметь катастрофические последствия для мировой экономики. В зоне оледенения окажутся многие промышленно развитые страны Европы и Америки, резко сократятся посевные площади под сельскохозяйственными культурами, возрастут расходы на отопление жилищ, а в некоторых районах возникнет необходимость эвакуации населения (десятки, а возможно, сотни миллионов человек). В тропической зоне, из-за увеличения среднегодовых температур, не исключено расширение существующих и образование новых засушливых территорий.
Как уже указывалось выше, перестройка картины течений в Северной Атлантике произойдет в тот момент, когда плотность вод Лабрадорского течения станет ниже плотности вод Гольфстрима. Оценка времени наступления этого момента должна учитывать не только снижение плотности вод Лабрадорского течения в результате распреснения, но и снижение плотности вод Гольфстрима из-за повышения среднепланетарной температуры. Наболее вероятным наступление "ледникового периода" представляется в момент массированного таяния Гренландского ледника (через 25-100 лет), однако есть данные (см. приложение 10), что "ледниковый период" может наступить и в еще более недалеком будущем.
Одним из следствий наступления нового "ледникового периода" будет резкий рост сжигания угля, нефти и газа для отопления жилищ, что может только ускорить начало терминальной стадии Парниковой катастрофы.
Современное состояние проблемы (2000 г.).
Подводя некоторый итог проделанной работе, можно сказать, что достигнут определенный уровень понимания общих тенденций изменения климата Земли в результате деятельности человека. Построена причинно-следственная модель взаимосвязи отдельных климатообразующих процессов. Даны оценки характерных времен развития климатических изменений и предложена периодизация этапов Парниковой катастрофы (см. приложение 11 ).
К сожалению, делается вывод о возможной реализации крайне неблагоприятного сценария изменения климата Земли в результате повышения концентрации СО 2 и других парниковых газов. В частности, этот вывод опирается на следующие утверждения:
Актуальные научные задачи в рамках данного направления исследований.
связывания ими СО 2.
Организационные задачи.
Парниковая катастрофа является беспрецедентной по своим возможным последствиям проблемой, стоящей перед человечеством. Впервые за всю историю существования жизнь на Земле оказалась под угрозой полного уничтожения, причем в не столь отдаленной исторической перспективе (300-1000 лет). Для предотвращения угрозы Парниковой катастрофы потребуются консолидированные усилия всего человечества, и в первую очередь, промышленно развитых стран.
Среди ближайших организационных задач отметим следующие:
По теме опубликовано 17 работ (см. приложение 1).
Copyright (c) "Русский переплет"