|
|
Лекция 1
Предмет теории фигуры Земли
. ⌠Фигуры■ и строения планет. Геодинамика. Основные понятия физической геодезии. История изучения фигуры Земли. Космическая геодезия.Теория фигуры Земли
Фигура планеты . . . что это? Форма е╦ физической поверхности? Форма или фигура? Вообще говоря, эти два слова не эквивалентны, если их применять по отношению к планете. Термин фигура Земли введ╦н давно. Так учебник проф. А.А.Михайлова, впервые изданный в 1933 году, называется ⌠Курс гравиметрии и теории фигуры Земли■. Однако не он ввел этот термин. В том же году вышел перевод книги П.Пицетти ⌠Механические основы фигуры планет■
. Оригинал, естественно, вышел раньше. У А.А.Михайлова есть ссылка на книгу Buchholz H. Angewandte Mathematic. Das mechanische Potenzial und seine Anwendung zur Beschtimmung der Figur der Erde. Leipzig, 1916. Имеется ссылка и на более ранний источник: Todhunter J. A history of the mathematical Theory of Attraction and the Figure of the Earth. London, 1873. В том же 1973 году немецкий физик Листинг предложил термин геоид для замкнутой поверхности равного потенциала. Таким образом, термин фигура Земли, как правило, обозначает фигуру е╦ уровенной поверхности, принятой в качестве поверхности, относительно которой измеряются высоты е╦ физической поверхности.Под фигурой планеты можно понимать:
Особый интерес вызывают фигуры гидростатически равновесных тел. Если представить модель планеты, состоящей из концентрических, тонких сло╦в, имеющих некоторое сжатие, то для гидростатически равновесных тел давление внутри каждого слоя √ постоянно. Отсутствуют горизонтальные составляющие сил давления, способные создать течения. Вертикальная составляющая давления, обусловленная совокупностью внешних (по отношению к рассматриваемой точке) сло╦в, компенсируется реакцией подстилающих сло╦в. В этом случае выполняется условие
,
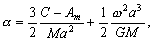
где
P √ потенциал гидростатического давления, W √ потенциал тяжести,Задача исследования внутреннего строения планеты часто сводится к согласованию е╦ теоретического и наблюденного потенциала тяжести. При этом е╦ гидростатическое равновесие принимается как гипотеза. Отсюда ясно, что теория фигур равновесия небесных тел, являющаяся одним из крупных разделов небесной механики, имеет фундаментальное значение.
Отличия модели от гидростатически равновесной фигуры не обязательно указывают на неадекватность принятой модели реальной планете. Эти отличия могут быть и источником информации о внутренних силах, создающих напряжения сдвига или растяжения. При текучести материала эти напряжения создадут конвекционные течения, которые находят отражение в тепловых и магнитных полях планеты. Кроме того, эти явления не могут не влиять на вращение планеты, на движение отдельных блоков е╦ поверхности. Наблюдения за изменением форм поверхности доступны геодезии и являются одним из важнейших предметов е╦ изучения.
На стыке наук √ геодезии, геофизики и астрономии - возникла геодинамика, объединяющая кинематическую и динамическую геодезии (терминология М.С.Молоденского). В первом случае изучают движение, во втором - силы. Сейчас науки о Земле очень много уделяют внимания геодинамическим исследованиям, которые помогают правильно осмыслить медленные эволюционные процессы, предсказывать землетрясения и поддерживать высокую точность астрономо-геодезических сетей. Геодинамические вариации достигают величин
Верн╦мся к фигуре Земли. Реальная фигура планеты, естественно, отличается от эллипсоидальной. Физическая поверхность Земли, да и любой планеты настолько сложна, что она не подда╦тся строгому математическому описанию. Наиболее наглядное представление √ карта высот этой поверхности над уровнем моря или геоида √ поверхности равного потенциала тяжести, проходящая через начало отсч╦та высот. Эта поверхность близка к невозмущ╦нной поверхности водной глади океанов и сообщающихся с ними морей. Однако, из-за различия температуры и сол╦ности, атмосферного давления и т.п. поверхность водной глади не совпадает строго с геоидом, а отклоняется приблизительно в пределах одного метра. Например, в зоне Панамского канала разность уровней Тихого и Атлантического океанов составляет 62 см
.Для построения карты высот нужно поверхность уровня океанов продолжить под континенты. Сделать это не просто: необходимо знать распределение плотностей горных пород. Эта трудность была преодолена М.С.Молоденским: вместо геоида он предложил строить квазигеоид, что не требует знания внутреннего строения земной коры.
Геодезия - в переводе с греческого землеразделение √ располагает приборами для определения углов и расстояний, то есть имеет дело с геометрическими величинами. Однако для построения квазигеоида требуется знать и удельную силу тяжести, то есть гравитационное поле. Поэтому этот раздел геодезии называют физической геодезией. Задачей физической геодезии является не только построение фигуры поверхности планеты или е╦ геоида (селеноида, ареоида и т.п.), но и изучение геометрии силовых линий в пространстве, отклонений отвеса, характеристик гравитационного потенциала и его взаимодействия с другими физическими полями. Термин физическая геодезия, пожалуй, можно отождествить с термином теория фигуры Земли, если этот предмет понимать более широко, чем указано в его названии.
Краткий исторический обзор
Что такое наша Земля? Какой она формы? Этими вопросами интересовались на самой заре пробуждения сознания. До нас дошли сведения, что Пифагор, живший в
V1 веке до нашей эры, считал Землю шаром. Его почему-то не смущал вопрос, как же удерживаются все предметы на ⌠покатой■ поверхности шара. Два века спустя великий Аристотель прямо указал на доказательство шарообразности Земли. Это √ лунные затмения. Земля бросает тень на Луну, когда Солнце находится с противоположной стороны. А эта тень - круглая! Ещ╦ один греческий уч╦ный Эратосфен, живший в третьем веке до нашей эры, предпринял первую попытку определить радиус Земного шара. Он оценил длину дуги меридиана между Александрией и Ассуаном (Сиеной) и воспользовался тем, в день летнего солнцестояния Солнце в Ассуане стоит точно в зените. Оно может ⌠заглянуть■ даже в самые глубокие колодцы. В это же время в Александрии наименьшее зенитное расстояние Солнца составляет 1/50 долю окружности. Между Александрией и Ассуаном существовал караванный путь длиной в 5000 стадий, то есть приблизительно 800- 900 км. Точная длина стадии неизвестна, полагают, что она равна 0,158 √ 0,185 км. Умножая 5000 на 50, Эратосфен получил длину меридиана, равную 250000 стадий. Радиус Земли, в этом случае, будет равен 40000 стадий, то есть 6000 - 7400 км. Современное значение среднего радиуса Земли равно 6371.023 км. Так что результат Эратосфена неплохой.Первые измерения размеров Земли были основаны на измерении длин дуг. Впоследствии это направление исследований развилось как градусные измерения. В V11 веке в период расцвета арабской цивилизации были выполнены градусные измерения , причем проводились и угловые и линейные измерения. Угловые измерения они выполняли по наблюдениям высот зв╦зд в меридиане. У них один градус оказался равным 111.8 км, а радиус Земли - 6406 км √ почти современный результат
Затем снова наступил продолжительный перерыв. Он связан с падением арабской цивилизации под влиянием экспансии монгольских плем╦н и средневековой схоластики, которая надолго задержала развитие научной мысли. Только в XV веке в Европе появился интерес к размерам нашей планеты. Он связан с развитием торговых отношений и колонизацией дальних земель. Необходимы были точные морские карты. Родилась геодезия. Голландский ученый Снеллиус (1580-1626) предложил метод триангуляции. Основная идея метода заключается в том, чтобы с помощью измерения только одного базисного отрезка и измерения углов получить расстояние до любой другой точки, находящейся вне базиса. Расстояние между точками А и В измеряется с наибольшей возможной точностью (рис.1). Измеряя углы
Ð
BAC и
Ð
BAC, будем иметь все необходимые сведения для определения треугольника АВС, следовательно, будем знать сторону ВС. Е╦ мы можем считать базисом для следующего треугольника BCD. Повторяя операции с измерением углов, определим стороны нового треугольника. Цепочка, состоящая из таких треугольников, может быть как угодно длинной. Оста╦тся определить астрономические координаты точек, чтобы развернуть данную триангуляционную сеть на сфере или эллипсоиде. Этот метод оказался очень эффективным и дожил до настоящего времени.
Классическим градусным определением следует считать работу Пикара (Франция, 1620-1682). Была определена длина дуги от Парижа до Амьена, которая оказалась равной 153689 м , а в градусной мере - 1° 23¢ 55² . Таким образом, длина одного градуса составила 111212 м. Современное значение длины дуги одного градуса на широте Парижа равно 111221 м, то есть измерения Пикара отличаются всего на 9 м.
В
XV111 веке в математической столице мира √ Париже вновь были организованы экспедиции. В экваториальной зоне (Перу) экспедиция в составе Буге, Годена и Лакондамина измерила длину дуги меридиана от 0° 2▓30■ северной широты до 3° 4▓30■ южной широты. Значение длины дуги одного градуса получено равным 110604 м. В полярной зоне (Скандинавия) работала другая экспедиция ( Клеро, Мопертюи, Камюз, Цельсий). Длина одноградусной дуги на широте 66° оказалась равной 111917 м. Наконец, несколькими годами раньше была измерена длина одноградусной дуги под Парижем. Она оказалась равной 111258 м. Результаты градусных измерений в XV111 веке можно свести в следующую таблицу|
Широта, градусы |
Длина одноградусной дуги, метры |
|
1 |
110604 |
|
49 |
111258 |
|
66 |
111917 |
По этим данным легко определить и большую полуось общего земного эллипсоида и его сжатие
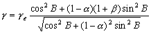
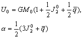
.Ньютон доказал, что Земля имеет форму эллипсоида вращения со сжатием 1:230 (современное значение 1:298,25). Эту величину он получил теоретически, принимая Землю за однородный, жидкий эллипсоид. Современник Ньютона Гюйгенс определил сжатие земного эллипсоида иначе. Он предположил, что сила притяжения всегда направлена к центру масс Земли, а эллипсоидальность поверхности уровня созда╦т центробежная сила, которая отклоняет отвесную линию. Вычислив сжатие, он получил величину, равную 1:576, то есть существенно меньше. Расхождение результатов Ньютона и Гюйгенса позже объяснил французский математик Клеро, который получил формулу зависимости сжатия от внутреннего строения планеты. Он обобщил теорию равновесия планет и показал, что случаи Ньютона и Гюйгенса являются частными случаями его модели. Сжатие по Клеро равно
![]()
Для однородного эллипсоида с малым сжатием
.
Для общего земного эллипсоида принято
Сжатие по Ньютону в этом случае равно
Исследования Клеро дали начало целой серии работ таких математиков как Пуанкаре, Лаплас, Лежандр, Стокс, Вихерт, Дарвин и др. Они создали научное направление, тесно примыкающее к нашему предмету √ теории фигур равновесия небесных тел. Большой вклад в теорию фигур небесных тел внесли Маклорен и Якоби, которые исследовали устойчивость фигур равновесия тел эллипсоидальной формы.
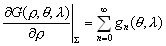
Для изучения формы эквипотенциальной поверхности с максимальной детальностью необходимо ввести тело отсчета, относительно которого можно выявить эти детали. Для Земли в качестве тела отсчета берут земной эллипсоид. Тогда задача определения фигуры Земли сводится к вычислению высот геоида над этим эллипсоидом. Исходным материалом для решения такой задачи служат геодезические и гравиметрические сведения, полученные на поверхности Земли.
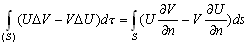
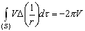
Впервые задачу определения фигуры Земли поставил и теоретически решил Стокс. Принципиальная возможность определения уровенной поверхности по гравитационному полю доказывается теоремой Стокса
: если уровенная поверхность, целиком охватывающая массы, известна, известны также масса и угловая скорость вращения, то сила тяжести однозначно определяется как на самой поверхности, так и во всем внешнем пространстве.Символически это утверждение можно записать так:
.Наша задача √ определение фигуры Земли - является обратной: требуется определить S по заданным M, g и
. Основная трудность решения этой задачи связана с определением g на поверхности уровня. На практике мы можем измерять удельную силу тяжести только на физической поверхности. Возникает задача переноса этого значения (редукции) с физической поверхности на геоид (не на эллипсоид!).
Над проблемой редукции работало много уч╦ных. Доминирующую роль в этой теории сыграли наши уч╦ные. Основная трудность заключалась в том, как ⌠отправить■ все массы, лежащие выше поверхности геоида, под эту поверхность, при этом не исказив саму поверхность уровня. Эта проблема получила название проблемы регуляризации Земли. Последнюю точку в этой задаче поставил М.С.Молоденский. Он доказал, что фигуру Земли можно изучать и без регуляризации. Достаточно все измерения выполнять на физической поверхности, но кроме силы тяжести необходимо знать и приращение потенциала, для чего должны быть выполнены и геодезические работы.
Итак, пусть на земной поверхности в точках с известными значениями
и
будем иметь вектор силы тяжести g(j
l
) и гравитационный потенциал
. Тогда
. Здесь черта сверху означает, что соответствующие величины берутся на поверхности S. Если S и W однозначно определяют вектор g, то уместно поставить и обратную задачу: определить S по заданным на поверхности g и W. При этом поверхность, вообще говоря, не является поверхностью уровня!
Австрийский геодезист Г.Мориц так отозвался о работе М.С.Молоденского: ⌠Когда блестящая работа М.С.Молоденского стала известной на западе, она произвела поистине революцию Коперника в умах геодезистов всех стран┘■ (Г.Мориц .Современная физическая геодезия. Москва ⌠Недра■ 1983). Эта работа стимулировала математические исследования в области теории гравитационного потенциала. На вооружение взяты такие серь╦зные математические дисциплины как теория функций, теория групп, интегральные уравнения, матрично-тензорный анализ и др. Последователи М.С.Молоденского, советские ученые Л.П.Пеллинен, В.В.Бровар, М.Ю.Нейман хорошо известны в мировом сообществе уч╦ных.
Появление спутников и новых возможностей исследования гравитационного поля существенно расширило круг задач теории фигуры Земли. Появилось новое направление в высшей геодезии ¾ космическая геодезия. Если раньше триангуляция разв╦ртывалась на физической поверхности Земли, то сейчас она стала трехмерной. Космические триангуляционные пункты ¾ пункты слежения за геодезическими спутниками. Движение спутников, как известно, определяется как движение по некоторой орбите вокруг центра масс. Поэтому за начало системы отсч╦та берут центр масс. Кроме того, необходимо знать расположение этих пунктов относительно тела отсчета, которым служит общий земной эллипсоид. Взаимное расположение пунктов задают геодезическими координатами B,L,H, соответственно, широтой, долготой и высотой. Фундаментально задачей является определение центра общего земного эллипсоида относительно центра масс.
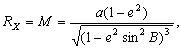
В доспутниковую эпоху геодезические работы вполне удовлетворяла привязка к эллипсоиду, аппроксимирующему исследуемую территорию. Советский геодезист Ф.М.Красовский получил параметры эллипсоида для Советского Союза с началом отсчета высот по Кронштадскому футштоку. Сжатие эллипсоида Красовского равно 1:298,3 , Эта величина значительно отличалась от сжатия общего земного эллипсоида принятого в то время и полученного по гравиметрическим данным. Авторы давали разные оценки сжатия от 1:296,6 до 1:297,4. Первое же определение сжатия по спутниковым данным дало величину, практически совпадающую со сжатием эллипсоида Красовского. Точность определения существенно возросла. Генеральная Ассамблея МАС в 1976 г для сжатия Земли утвердила значение 1:298,2570.
Спутниковые альтиметрические исследования дали прямые измерения топографии водной глади поверхности океанов, которая совпадает с геоидом с точностью
+1м. Сами альтиметрические наблюдения достигли точности нескольких сантиметров. Появилась необходимость с такой же точностью строить и теорию движения спутников и определять поверхность геоида. Классическое линейное приближение с точностью до первой степени сжатия стало неприемлемым. Если радиус Земли равен R, то малыми величинами мы должны считать линейные величиныЛекция 2
Сферическая система. Широта долгота и радиус-вектор. Система координат, построенная на эллипсоиде. Геодезические
координаты: широта, долгота и высота. Связь между сферической, геодезической и декартовой системами координат.Геодезические системы координат
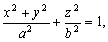
Эллипсоидальная система координат
Геодезические задачи решают на плоскости, если размеры
площади невелики. Если исследуемая часть поверхности занимает несколько градусов широты или долготы, то необходимо учитывать и кривизну поверхности. В этом случае часто подходит и шар. Для решения глобальных задач, в том числе и задач по космической геодезии в качестве тела отсч╦та берут эллипсоид вращения. В частности на эллипсоиде решают следующие задачи:Уточнение формы и размеров общего земного эллипсоида (ОЗЭ).
-Перенос направлений и расстояний с физической поверхности на эллипсоид.
-Определение координат точек на поверхности референц-эллипсоида.
-Определение расстояний между точками с заданными координатами.
-Уточнение координат по мере уточнения элементов эллипсоида.
Декартовы системы координат
Введ╦м две прямоугольные системы координат: локальную и глобальную.
Начало системы отсчета (точка Р) для локальной прямоугольной системы координат выберем в точке наблюдения, лежащей на поверхности эллипсоида. Ось РХ направим на Север, ось РУ ¾ на Восток, а ось
PZ по нормали к поверхности эллипсоида вниз (по внутренней нормали). В этой системе координат ⌠горизонтальная■ плоскость ХРУ не совпадает с плоскостью астрономического горизонта.Глобальную декартову геодезическую систему координат
Oxyz строят так. Начало отсчета совмещают с центром ОЗЭ (не путать с центром масс Земли!), плоскость xOy - c плоскостью экватора. Ось Ox совмещают с линией пересечения плоскости нулевого меридиана и плоскости экватора. Ось Oy пересекает экватор в точке с долготой 90° . Ось Oz совпадает с осью вращения ОЗЭ. Эта ось не обязательно совпадает с осью вращения Земли. Для трехосного ОЗЭ начало координат берут в центре масс Земли, а оси √ совпадающими с главными осями инерции. В этом случае плоскость xOy , вообще говоря, не будет лежать в плоскости экватора.Сферическая система координат
Телом отсчета для сферической системы координат является сфера с радиусом
R. Начало этой системы координат совмещают с центром сферы. Координатами являются геоцентрическая широта Ф, долгота
(1)
В том случае, когда широта определяется как угол между плоскостью экватора и отвесной линией, сферическая система координат называется астрономической. Широта и долгота, определ╦нные в этой системе мы будем обозначать через
Геодезическая система координат
С геодезической системой координат
B, L ,H связывают понятия геодезической широты, долготы и высоты. Геодезическая широта В есть угол, под которым пересекается нормаль к поверхности эллипсоида с плоскостью экватора. Долгота L - двугранный угол между плоскостью нулевого меридиана и плоскостью меридиана, проходящего через заданную точку.Геодезические широта и долгота отличаются от соответствующих астрономических координат, связанных с отвесной линией, так как отвесная линия не совпадает с нормалью к эллипсоиду. Отклонение отвесной линии можно спроецировать на две плоскости: плоскость меридиана и плоскость первого вертикала. Нетрудно понять, что обе эти составляющие можно определить через разности между астрономическими и геодезическими координатами
. (2)
Отклонения отвесной линии составляют, как правило, первые несколько секунд дуги.
Геоцентрическая система координат
Заметим, что геодезическая и геоцентрическая долготы совпадают. Обе они определены как двугранный угол между плоскостью нулевого меридиана и плоскостью, содержащей ось вращения и заданную точку. Геоцентрическая же широта отличается от геодезической.
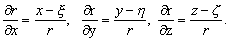
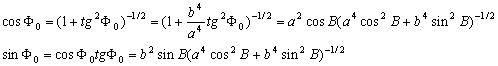
Рассмотрим точку
P, лежащую вне ОЗЭ. Опустим из этой точки перпендикуляр на поверхность эллипсоида и продолжим его до пересечения с экваториальной плоскостью (рис2) Проекцию точки P на поверхность эллипсоида обозначим через Q. Тогда отрезок PQ есть геодезическая высота точки Р. Угол, под которым упомянутый перпендикуляр пересекает плоскость экватора, есть геодезическая широта B. Она относится как к точке Q, так и к точке Р. Геоцентрические широты этих двух точек, как видно из рисунка, различаются. Геоцентрическая широта точки Q угол Ф между радиус-вектором этой точки и плоскостью экватора.Установим связь между координатами точки
Q, сжатием эллипсоида
(3)
У нас
поэтому
Следовательно
,Определим отличие геоцентрической широты Ф от геодезической В
. Имеем очевидные равенства
. (4)
Второй эксцентриситет эллипса, как мы знаем, определяется следующим образом
.
Для Земли второй эксцентриситет мал, поэтому, пренебрегая малыми второго порядка относительно сжатия, получим
Наибольшее отличие геодезической широты от геоцентрической достигается на широте 45° и составляет
Связь глобальных декартовых координат с геоцентрическими определяется формулами (1). Определим теперь формулы, связывающие декартовы координаты с геодезическими. Это означает, что бы должны определить координаты точки Р через параметры эллипсоида и геодезические широту и долготу.
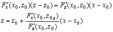
Поскольку
Определим прямоугольные координаты точки Р, расположенной на высоте Н над поверхностью эллипсоида. Сначала определим координаты проекции точки Р на поверхность эллипсоида ( точка
Q). Е╦ координаты в сечении Охz равны![]()
Индексом ⌠0■ мы отметили принадлежность координат к точке, лежащей на поверхности эллипсоида. Как мы видели
![]()
поэтому
Оста╦тся определить радиус-вектор точки
Q. Воспользуемся уравнением эллипса и выполним необходимые преобразования.
(5)
Выразим

следовательно,
(6)
Обозначим
Теперь
(8)
Для произвольного сечения, проходящего через ось вращения
(9)
Теперь поднимем точку
Q на высоту Н и совместим е╦ с точкой Р. Прямоугольные координаты изменятся на
(10)
Окончательно, теперь формулы для пересч╦та геодезических координат
B, L и Н в прямоугольные x,y,z примут вид
(11)
Здесь
Эллипсоидальная система координат
Рассмотрим ещ╦ одну систему координат, имеющую приложение в теории гравитационного потенциала:

Эти формулы содержат не три, а четыре переменные величины. Четв╦ртая переменная устанавливает семейство координатных поверхностей √ эллипсоидов. Убедимся в этом. Проделаем простые преобразования:
![]()
Разделив первое уравнение на
![]()
Очевидно, что при
w=const получим уравнение эллипсоида вращения![]()
Поскольку
![]()
меняя
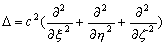
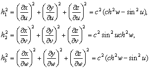
u, получим семейство однополостных гиперболоидов вращения. Обозначив a=csinu, b=ccosu, получим уравнение гиперболоида в общепринятой форме. Разделив у на х, получимЛекция 3
Интеграл Дирихле, первая, вторая и третья формулы Грина. Гармонические функции и их свойства, теоремы о гармонических функциях. Шаровые и сферические функции. Дифференциальное уравнение для сферических функций и его решение.
Основные формулы теории потенциала
В данном разделе перечислим без вывода основные формулы теории потенциала, которые находят применение в теории фигуры Земли. Остановимся лишь на некоторых, наиболее важных теоремах.
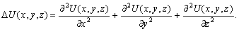
Введ╦м векторный оператор набла
Ñ :
,
где
С векторным оператором можно обращаться, как с обыкновенным вектором. Например, скалярное произведение двух операторов набла да╦т оператор Лапласа:
Допустим, что в нашем распоряжении имеется некоторая скалярная функция
U(x,y,z). Тогда![]()
![]()
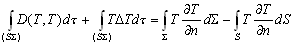
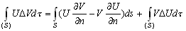
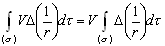
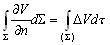
Формула Остроградского
С помощью оператора Лапласа интегрирование по объ╦му можно заменить интегрированием по поверхности. В дальнейшем для обозначения пределов интегрирования мы будем использовать следующий при╦м. Все двукратные или трехкратные интегралы мы будем изображать однократным интегралом. Под интегралом будем использовать символ (S) если интегрирование вед╦тся по телу, ограниченному поверхностью
S, или просто значком S, если интегрирование вед╦тся по поверхности S. С этими оговорками формула Остроградского (3.1) принимает видПервая формула Грина
Введ╦м обозначение оператора
(3.2)
тогда первая формула Грина примет вид
Интеграл по объ╦му от функции
D(U,U) называется интегралом Дирихле:
(3.4)
Очевидно, что в формуле Грина функции
U и V можно менять местами, то есть вместо (3.3) можно написать
(3.5)
Вторая формула Грина
Вычитая левые и правые части формул (3.3) и (3.5), получим вторую формулу Грина
(3.6)
Третья формула Грина
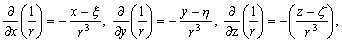
Рассмотрим частный случай, когда
U=1/r, где r √ расстояние между двумя точками P(x,y,z) и Q![]()
Нетрудно убедиться, что для
r¹ 0, имеет место равенство D (1/r)=0. Имеем![]()
Проделаем следующие выкладки
![]()
,
.
Обратимся снова к второй формуле Грина. Перепишем е╦ для случая, когда
U=1/r. Возможны три варианта, когда точка Р лежит вне тела, внутри его и на поверхности, которое ограничивает это тело.
. (3.7)
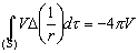
Мы получили третью формулу Грина для внешней точки.
,
где
(S)¢ - тело с выколотой точкой Р. Поскольку r¹ 0 во вс╦м внутреннем пространстве (S)¢ , то первое слагаемое в правой части полученной формулы обращается в нуль, так как D (1/r) =0. Займ╦мся вторым слагаемым. Будем считать, что радиус малой сферы s настолько мал, что функцию V внутри этой сферы - постоянная величина. Тогда
Воспользуемся формулой Остроградского, в которой положим
U=1/r , тогда вместо интегрирования по объ╦му будем интегрировать по поверхности малой сферы
.
Отношение
![]()
Перепишем формулу ( 3.6) в следующем виде
В случае
U=1/r, для внешней точки получим
(3.8)
,
поэтому третья формула Грина принимает вид
(3.9)
Формулы (3.7),(3.8) и (3.9) можно записать одной формулой
(3.10)
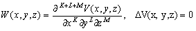
Гармонические функции
Гармонической функцией координат
x, y, z называется функция, непрерывная вместе со своими первыми и вторыми производными в некоторой области (S), удовлетворяющая во всех точках этой области уравнению Лапласа D V=0.Свойства гармонических функций
.Пусть
U(x,y,z) и V(x,y,z) - две гармонические функции, то есть D U(x,y,z)=0 и D V(x,y,z)=0. Возьм╦м их линейную комбинацию W(x,y,z)=AU(x,y,z)+BV(x,y,z). Очевидно, что D W=AD U+BD V. Поскольку D U=0, D V=0, то и D W=0 , что и доказывает наше утверждение.Доказательство основано на взаимной переставимости оператора Лапласа D и производных. Пусть
,
Пусть
U(x,y,z) √ гармоническая функция. Введем новые координаты
В матричном виде приведенное равенство выглядит следующим образом

Подставим в функцию
U(x,y,z) линейные выражения для x , h , V , для чего воспользуемся вторым из привед╦нных выше равенств, получим V(x h V ). Докажем, что если U(x,y,z) функция гармоническая, то и V( x h V ) является гармонической функцией.Очевидно, что
)
Аналогично
Запишем полученные равенства в матричной форме

Поскольку оператор Лапласа есть квадрат векторного оператора набла, то
,
В правой части будем иметь

Поскольку матрицы направляющих косинусов являются ортонормированными, их произведения равны единичной матрице и оператор Лапласа принимает вид
.
Отсюда следует, что оператор Лапласа является инвариантом по отношению к повороту осей, а при изменении масштаба множителем с изменяется на множитель
Теоремы о гармонических функциях
Пусть
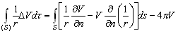
V(x,y,z) √ гармоническая функция. Предположим, что задана замкнутая поверхность S, ограничивающая область, внутри которой эта функция √ гармоническая. Тогда, используя формулу Остроградского (3.1), получим![]()
Но так как функция
V гармоническая, то D V=0, поэтомуВ случае, когда
V(x,y,z) √ потенциал притяжения, то справедливо уравнение Пуассона
Предположим обратное: внутри области
D существует точка Р, в которой гармоническая функция имеет максимум. В малой окрестности этой точки на сфере S нормальная производная функции V будет отрицательной, тогдаЛюбая область вне притягивающего тела есть область определения гармонической функции, внутри которой, согласно теореме 2, не может иметь ни минимума, ни максимума. Предположим обратное: внутри притягивающего тела существует точка Р, в которой потенциал притяжения достигает минимума. В этой точке справедливо уравнение Пуассона D
V(P)= -4p Gs < 0. По формуле Остроградского будем иметь
<
0
M
ы пришли к противоречию: вследствие минимума внутри малой сферы, нормальная производная на поверхности этой сферы будет положительной, следовательно и привед╦нные выше интегралы будут положительны, что противоречит сделанному выше выводу. Таким образом, теорему можно считать доказанной.Обратимся к третьей формуле Грина, когда точка Р внутренняя. Для гармонической функции D V=0, поэтому на сфере S формула (3.8) принимает вид
.
На поверхности сферы нормальная производная совпадает с производной по радиус- вектору, поэтому
,
что и требовалось доказать.
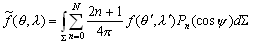
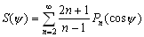
Шаровые функции
Шаровой функцией степени
n называется гармоническая функция, являющаяся однородным степенным полиномом вида
где
Возьм╦м сферическую систему координат
(3.12)
где l - долгота, q - полярное расстояние, r - радиус-вектор точки Р. Очевидно, что
Функция вида
называется сферической функцией.
Итак, шаровая функция степени
n имеет вид
(3.15)
Существует и другой класс шаровых функций, который привед╦м здесь без вывода
, (3.16)
где
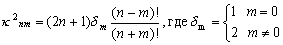
Число постоянных шаровой функции степени
n равно 2n+1. Убедимся в этом на при мере шаровой функции третьей степени:
.
Всего однородный полином третьей степени имеет 10 постоянных. Однако не все постоянные независимы
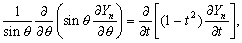
. Шаровые функции подчиняются уравнению Лапласа. Выполнив необходимые выкладки, получим![]()
Следовательно, из 10 постоянных 3 линейно связаны уравнением Лапласа. Оста╦тся 10-3=7 независимых постоянных.
Дифференциальное уравнение для сферических функций
Поскольку шаровые функции удовлетворяют уравнению Лапласа, то есть