TopList Яндекс цитирования
Русский переплет
Портал | Содержание | О нас | Авторам | Новости | Первая десятка | Дискуссионный клуб | Чат Научный форум
Первая десятка "Русского переплета"
Темы дня:

Мир собирается объявить бесполётную зону в нашей Vselennoy! | Президенту Путину о создании Института Истории Русского Народа. |Нас посетило 40 млн. человек | Чем занимались русские 4000 лет назад? | Кому давать гранты или сколько в России молодых ученых?


[ ENGLISH ] [AUTO] [KOI-8R] [WINDOWS] [DOS] [ISO-8859]


Русский переплет

Урания


Владимир Александрович Кирзимов


Решение уравнений и неравенств, содержащих целую и дробную часть числа.


Определение1 : целой частью числа х ([x]) называется ближайшее целое число,

не превышающее х, т.е. [3,27] = 3; [-3,27] = - 4.

Из данного определения следует, что [x] <= x < [x] + 1.

Примеры решения уравнений и неравенств:

1. [x+1,5] = -5 <=> -5 <= x+1,5 < -4 <=> -6,5 <= x < -5,5. Ответ: - 6,5 <= x < -5,5.

2. [2x+0,2] = 1 <=> 1 <= 2x+0,2 < 2 <=> 0,8 <=2x < 1,8. Oтвет: 0,4 <= x < 0,9.

3. [3x-5,2] = 7/3 . Ответ: решений нет.

4. [ x^2-5*x+6 ] =1 <=> 1<= x^2-5*x+6 < 2 <=> 1 < x <= (5-sqrt(5))/2, (5+sqrt(5))/2 <= x < 4.

Ответ: 1 < x <= (5-sqrt(5))/2, (5+sqrt(5))/2 <= x < 4.

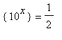
5. [ 10^x ] = 0 <=> 10^x < 1 <=> x < 0. Ответ : x < 0.

6. [ log(3*x) ] = 2 <=> 2 <= log(3*x) < 3 <=> 100 <= 3x < 1000 <=> 100/3 <= x < 1000/3 .

Ответ: 100/3 <= x < 1000/3 .

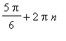
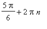
7. [2sinx] =1 <=> 1/2 <= sinx < 1 <=> Pi/2+2*Pi*n < x <= 5*Pi/6+2*Pi*n , Pi/6+2*Pi*n <= x < Pi/2+2*Pi*n .

Ответ: Pi/2+2*Pi*n < x <= 5*Pi/6+2*Pi*n , Pi/6+2*Pi*n <= x < Pi/2+2*Pi*n .

8. x^2 - 5[x] - 3 = 0 <=> [x] = (x^2-3)/5 <=> (x^2-3)/5 <= x < (x^2-3)/5 + 1 <=> 0 < x^2-5*x+2 ,

x^2-5*x-3 <= 0 <=> (5-sqrt(37))/2 <= x < (5-sqrt(17))/2 , (5+sqrt(17))/2 <= x < (5+sqrt(37))/2 .

Первый промежуток корней не содержит. Второй промежуток содержит два корня

х = sqrt(23) , x = sqrt(28) . Ответ : { sqrt(23) ; sqrt(28) }

9. [x] < 2 <=> x < 2. Ответ : x < 2.

10. [x] <= 2 <=> x < 3. Ответ : x < 3.

11. [x] > 2 <=> x >=3. Ответ : x >= 3.

12. [x] >= 2 <=> x >= 2. Ответ : x >= 2.

13. [log(x)] <= 2 <=> log(x) < 3 <=> 0 < x < 1000. Ответ : 0 < x < 1000.

14. [ (x-3)/2 ] = [ (x-2)/3 ].

Если два числа имеют одинаковую целую часть, то модуль их разности меньше 1,

-1 < (x-3)/2 - (x-2)/3 < 1 <=> -1 < x < 11. При этих значениях х -1 < (x-2)/3 < 3,

следовательно, выражения (x-2)/3 и (x-3)/2 должны одновременно принадлежать

промежуткам [-1;0), [0;1), [1;2), [2;3). Решая соответствующие системы неравенств

получаем решение данного уравнения: 1 <= x < 2, 3 <= x < 7, 8 <= x < 9.

Ответ: 1 <= x < 2, 3 <= x < 7, 8 <= x < 9.

15. Сколько решений имеет уравнение?

[x + 3/8 ] + [x] = (7*x-2)/3 .

Пусть х = n + a, где n - целое и 0 <= a < 1. Тогда исходное уравнение приводится

к виду [a + 3/8 ] + [a] = (n+7*a-2)/3 (т.к. [x + n] = [x] + n). При a < 5/8 , (n+7*a-2)/3 = 0,

n = 2-7a и при 0 <= a < 5/8 получаем - 19/8 < n <= 2, т.е. пять решений.

Соответственно при 5/8 <= a <1, -2 < n <= - 5/8 , т.е. два решения.

Таким образом, всего 7 решений. Ответ : 7.

16. [ (2*x-1)/3 ] + [ (4*x+1)/6 ] = (5*x-4)/3 .

(5*x-4)/3 = t, где t - целое число. Исходное уравнение принимает вид

[ 2*t/5+1/5 ] + [ 2*t/5+7/10 ] = t. Разность выражений, заключенных в скобках, равна 0,5,

следовательно, целые части их либо равны, либо отличаются на 1. Легко убедится,

что t может принимать значения из множества {-2; -1; 0; 1; 2}. При этих значениях t

получаем множество решений уравнения {-0,4; 0,2; 0,8; 1,4; 2}.

Ответ : {-0,4; 0,2; 0,8; 1,4; 2}.

Примеры для самостоятельного решения.

1. [0,5x + 2,3] = -4.

2. [0,5x + 2,3] >= -4.

3. [0,5x + 2,3] < 4.

4. [x+1] + [x-2] - [x+3] =2.

5. [x+3] - [x-5] = 8.

6. [x+4] - [x+1] > 2.

7. [ x^2-x+4 ] = 2.

8. [ 10^x ] = 3.

9. 9^[x]-2*3^[x+1]+5 = 0 .

10. 4^[x]-6*2^[x]+8 = 0 .

11. lg[x] = 1.

12. lg[2x] = 2.

13. lg[3x] = -2.

14. [lg(3x + 40)] =2.

15. [lg(2x - 0,1)] = -2.

16. [sinx] = [cosx].

17. [sinx + cosx] = 1.

18. [sinx + cosx] = 0.

19. [sinx + cosx] = -1.

20. [sinx + cosx] = -2.

21. [ x^2 ] = 4.

22. [x]^2 = 4.

23. 10^[x] < 0,001.

24. 10^[2*x] > 1000.

25. 10^[x] > 7.

26. lg[3x] <= -2.

27. [x + 3/8 ] + [x] = (7*x-2)/3 .

28. x^2-3*[x]-4 = 0 .

Решить системы уравнений:

29. 2[x] + 3[y] = 8, 3[x] - [y] = 1.

30. [x + y + 4] = 18 - y, [x+1] + [y-1] = 18 - x - y.

31. [x] + [y - 2] = 5 - x, [x + 3] = -x - y + 6.

Построить графики функций:

32. y = [x].

33. y = [x] +2.

34. y = [2x].

35. y = 2[x].

36. y = [sinx].

37. y = [cosx].

38. y = sin[x].

39. y = [ x^2 ].

40. y = [x]^2 .

41. y = [lgx].

42. y = lg[x].

Решить графически:

43. 0,5[x] = 1/x .

44. [tgx] = x.

45. [x + 0,25] + [x] = [2x].

46. [cosx] = x^2-2*x - 1.

47. [ x^3-x ] = x^2-1 .

Определение 2: дробная часть числа х ({х}) определяется равенством

[x] + {x} = x. При этом, {a + n} = {a} = a, где n - целое

и 0 <= a < 1.

Примеры решения уравнений и неравенств:

48. {x+1/3} = 1/2 <=> x+1/3 = 1/2+n <=> x = 1/6+n . Ответ: 1/6+n .

49. {3*x-9/4} = 2/3 <=> 3*x-9/4 = 2/3+n <=> x = 11/36+n/3 . Ответ: 11/36+n/3 .

50. {2*x+2/5} = 4/3 . Ответ: решений нет.

51. {x}^2-3*{x}/4+1/8 = 0 <=> {x} = 1/4 \/ {x} = 1/2 <=> x = 1/4+n \/ x = 1/2+n .

Ответ: 1/4+n , 1/2+n .

52. 25^{x} = 5 <=> 2*{x} = 1 <=> {x} = 1/2 <=> x = 1/2+n . Ответ: 1/2+n .

53. 10^{x} = 0,8. Ответ: решений нет.

54. {x} < 0,2 <=> n <= x < 0,2 + n. Ответ: [n; 0,2 + n).

55. {x} > 0,2 <=> 0,2 + n < x < 1 + n. Ответ: [0,2 + n; 1 + n).

56. {x}^2-5*{x}/6+1/6 < 0 <=> 1/3 < {x} < 1/2 <=> 1/3+n < x < 1/2+n .

Ответ: ( 1/3+n ; 1/2+n ).

57. {lgx} < 0,1 <=> n <= lgx < 0,1 + n <=> 10^n <= x < 10^(.1+n) .

Ответ: [ 10^n ; 10^(.1+n) ).

58. lg{x} < 0,1 <=> n <= x < 10^.1 + n. Ответ: [n; 10^.1 + n).

Примеры для самостоятельного решения.

59. {x-3/4} = 1/3 .

60. {x+6/5} = 1/5 .

61. {x-1/2} = 4/3 .

62. {x}^2-4.5*{x}+2 = 0 .

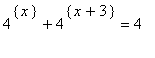
63. 4^{x}+4^{x+3} = 4 .

64. 125^(2*{x})-30*5^(3*{x})+125 = 0 .

65. {x-3/4} < 1/3 .

66. 1/5 < {x+6/5}

67 {lgx + 3,2} < 0,2.

68. lg{x-0,1} > 0,4.

69. {x}^2-5*{x}/2+1 < 0 .

70. {10^x} = 1/2 .

71. x + [x] +{x} = 0.

72. {x} - [x] + x = 0.

73. Решить систему уравнений:

2{x} - 3{y} = 1, 2{x} + 4{y} = 2.

74. Найти {x}, если

[x+3/8]+[x] = [2*x] .

Построить графики функций:

75. y = {x}.

76. y = {2x}.

77. y = 2{x}.

78. y = {x + 0,5}.

79. y = {x} + 0,5.

80. {x} = 0,5.

81. {y} = 0,5.

82. y = { x^2 }.

83. y = {x}^2 .

84. y = sin{x}.

85. y = {sinx}.

86. y = {tgx}.

87. y = tg{x}.

88. y = {lgx}.

89. y = lg{x}.

Решить графически:

90. [x] = 2{x}.

91. 1 - x = {x}.

92. [x+3/8]+[x] = [2*x] .

93. {x} = 0,5 и {y} = 0,5.

Ответы и указания.

1. [-12,6 ; -10,6).

2. [-12,6 ; infinity ).

3. ( infinity ; 3,4 ).

4. [6 ; 7). Использовать равенство [x+n]=[x]+n, где n-целое.

5. любое число.

6. любое число.

7. решений нет.

8. [lg3 ; 2lg2).

9. [log[3](5) ; log[3](5) + 1); [0 ; 1).

10. [1; 3).

11. [10 ; 11).

12. [50 ; 50,5).

13. решений нет.

14. [20 ;320).

15. [0,055 ; 0,1).

16. ( Pi*k ; Pi/2+Pi*k ).

17. ( 2*Pi*k ; Pi/2+2*Pi*k ).

18. ( -Pi/4+2*Pi*k ; 2*Pi*k ).

19. ( 3*Pi/4+2*Pi*k ; -Pi/4+2*Pi*k ).

20. ( -Pi+2*Pi*k ; -Pi/2+2*Pi*k ).

21. [- sqrt(5) ; -2); [2 ; sqrt(5) ).

22. [2 ;3); [-2 ; -1).

23. ( infinity ; -3).

24. [ 4 ; infinity ).

25. [1 ; infinity ).

26. (0 ; 1/3 ).

27. {- 10/7 ; -4/7 ; -1/7 ; 2/7 ; 5/7 ; 8/7 ; 2 }.

28. { -1; sqrt(13) ; 4 }.

29. 1 <= x <2 ; 2 <= y < 3.

30. ( 4 ; 5 ).

31. решений нет.

32. y = [x].

[Maple Plot]

33. y = [x] + 2.

[Maple Plot]

34. y = [2x].

[Maple Plot]

35. y = 2[x].

[Maple Plot]

36. y = [sinx].

[Maple Plot]

37. y = [cosx].

[Maple Plot]

38. y = sin[x].

[Maple Plot]

39. y = [ x^2 ].

[Maple Plot]

40. y = [x]^2 .

[Maple Plot]

41. y = [lgx].

[Maple Plot]

42. y = lg[x].

[Maple Plot]

43. 0,5[x] = 1/x . Решений нет.

[Maple Plot]

44. [tgx] = x. { 0; 1 .. }.

[Maple Plot]

45. [x + 0,25] + [x] = [2x]. [-2;-1,5) \/ [0;0,5) \/ [0,75;1,5).

[Maple Plot]

46. [cosx] = x^2-2*x - 1. {1- sqrt(2) ; 2}. Рассмотреть: x^2-2*x - 1 = 0 и x^2-2*x = 0.

[Maple Plot]

47. [ x^3-x ] = x^2-1 . {-1;1; sqrt(2) ).

[Maple Plot]

59. 1/12+m , где m-целое.

60. m.

61. решений нет.

62. 1/2+m .

63. 1/2+m .

64. 1/3+m ; 2/3+n .

65. [ m ; 1/12+m ).

66. (m ; 0,8 + m).

67. [ 10^(-1/5+m) ; 10^m ).

68. любое число.

69. ( 0,5 + m ; 1+m ).

70. lg(0,5 + m ), m >= 0.

71. {0}. Учесть, что [x] + {x} = x.

72. {m}. См. ╧71.

73. ( 5/7+m ; 1/7+n ).

74. [ 0 ; 1/2 ) \/ [ 5/8 ; 1 ). После замены x = m + a, где m - целое и 0 <= a <1, получаем [a + 3/8 ] + [ a ] = [ 2a ]. Рассмотреть два случая : 1) a + 3/8 < 1; 2a < 1 и 2) 1/2 <= a < 5/8 .

75. y = {x}.

[Maple Plot]

76. y = {2x}.

[Maple Plot]

77. y=2{x}.

[Maple Plot]

78. y = {x+0,5}.

[Maple Plot]

79. y={x}+0,5.

[Maple Plot]

80. {x} = 0,5.

[Maple Plot]

81. {y} = 0,5.

[Maple Plot]

82. y = {x^2} .

[Maple Plot]

83 . y = {x}^2 .

[Maple Plot]

84 . y = sin{x}.

[Maple Plot]

85 . y = {sinx}.

[Maple Plot]

86 . y = {sinx}.

[Maple Plot]

87. y = tg{x}.

[Maple Plot]

88. y = {lgx}.

[Maple Plot]

89. y = lg{x}.

[Maple Plot]

90. [x] = 2{x}. {0; 1,5}.

[Maple Plot]

91. 1 - x = {x}. {0,5}.

[Maple Plot]

92. [x+3/8]+[x] = [ 2x ]. [ -3/8 ; 1/2 ) и т.д.

%? [Maple Plot]

93. {x} = 0,5; {y} = 0,5. Узлы решетки.

[Maple Plot]


книга1.mws - файл в формате MAPLE_V



Русский переплет



Aport Ranker

Copyright (c) "Русский переплет"

Rambler's Top100