|
|
"Совершенно так же обстоит дело и с движением восьмой сферы [звезд]; его древние математики не могли определить в полной мере вследствие необычайной его медленности. Но если мы желаем исследовать его, то должны идти по стопам древних математиков и держаться оставленных ими как бы по завещанию наблюдений. И если кто-нибудь, наоборот, хочет думать, что верить им не следует, то, конечно, врата нашей науки будут для него в этом вопросе закрыты и он, лежа у порога, будет во сне больных грезить о движении восьмой сферы, и вполне заслуженно, ибо он клеветой на древних хотел помочь собственным галлюцинациям."
Античный трактат по астрономии Клавдия Птолемея - "Альмагест" является впечатляющем научным трудом, внесшим огромный вклад в развитие астрономии. В отличие от многих других античных произведений, его судьба сложилась достаточно счастливо. Трактат несчетное число раз переиздавался после появления книгопечатания, начиная с первого Венецианского издания 1515 года до недавней публикации русского перевода И.Н.Веселовского [1]. Сохранилось и довольно большое число рукописей "Альмагеста". История трактата прослеживается практически непрерывно до наших дней по работам его комментаторов и интерпретаторов [2]: Паппа (начало IV век), Теона Александрийского (конец IV), Прокла Диадоха (V) и его ученика Гелиодора (начало VI века - Гелиодор записал в своем экземпляре Альмагеста 8 точных астрономических наблюдений соединений планет со звездами и Луной, и эти наблюдения были к счастью сохранены последующими переписчиками [3]), Иоанна Филопона (VI век), Олимпиадора, Стефана Александрийского (VII век), Георгия Писиды (VII), Иоанна Дамаскина (VIII). Дальнейшая история "Альмагеста" связана с его переводом на сирийский, арабский, санскрит, пехлеви и другие восточные языки и расцветом астрономии в странах ислама. Одно перечисление арабских комментаторов и астрономов, развивавших теории Птолемея с VIII по XIII век, заняло бы немало места - упомяну лишь ибн-Юсуфа (786-833 - перевел "Альмагест" с сирийского), Сабита ибн-Корра (836-901 - перевел "Альмагест" с греческого и показал, что наблюдения Солнца у Птолемея имеют низкую точность), аль-Баттани (850-929 в числе прочего составил звездный каталог на основе Птолемеевского, обнаружив 1-градусный сдвиг в долготах), ас-Суфи (903-986, также составил каталог на основе Птолемеевского, исправив многие ошибки, при этом провел сравнение многих координат Птолемея с собственными наблюдениями, каталог иллюстрирован фигурами созвездий, первый предположил, что каталог составлен не Птолемеем), аль-Бируни (973-1048, при составлении своей версии каталога, проделал гигантскую работу по сличению координат в разных рукописях, своих наблюдений и наблюдений ас-Суфи, кстати он написал объемный трактат по хронологии разных народов - "Памятники минувших поколений", опубликованный на русском языке), Омара Хайама (1048-1131, он больше известен как поэт, но был также и замечательным астрономом, возглавлял Исфаганскую обсерваторию и составил свой небольшой эвеэдный каталог) , ат-Туси (1201-1274, разработал еще более сложную чем у Птолемея теорию Луны и планет, написал очень обстоятельное "Изложение Альмагеста"). В западную Европу "Альмагест" проникает через арабскую Испанию в X веке. В XI веке появились вычисленные на основе теории Птолемея "Толедские таблицы". Французский математик Георгий Орийякский (ставший в конце жизни папой Сильвестром II 930-1003) вынужден был пользоваться арабским переводом. Наконец в 1175 году Герардо Кремонский переводит "Альмагест" на латынь, другой перевод был сделан на Сицилии с греческого манускрипта, привезенного из Константинополя. Известен в единственной рукописи и третий перевод. В XIII веке при дворе короля Альфонса работала группа астрономов, разработавшая "Альфонсинские таблицы", пришедшие на замену "Толедским таблицам". Хорошо знали "Альмагест" и в Византии (Михаил Пселл, Симеон Сет, Иоанн Каматир, Феодор Метохит). С падением Константинополя, вместе с бежавшими учеными на Западе появились греческие манускрипты, которые почти сразу стали переводиться Георгием Трапезундским (неудачный перевод неспециалиста) и Георгием Пурбахом - успел перевести лишь VI книг из XIII, которые были опубликованы в 1496 году с примечаниями и дополнениями Региомонтана. Первое полное печатное Венецианское издание 1515 г. было сделано по старому переводу с арабского Герардо Кремонского. Перевод Георгия Трапезундского был опубликован в 1528 году. В 1538 году в Базеле впервые был опубликован греческий текст "Альмагеста", после чего переиздания и переводы на многие европейские языки появлялись регулярно.
В истории "Альмагеста", как в зеркале, отражается вся история развития человечества и поэтому, взявшись за революционный пересмотр хронологии мировой истории, академик Анатолий Фоменко и его предшественник Николай Морозов не могли обойти вниманием этот трактат. В книге [4] Фоменко с соавторами В.В.Калашниковым и Г.В.Носовским (в дальнейшем КНФ) предприняли попытку передатировать "Альмагест" (именно эта книга и служит предметом разбора в этой статье). В "Альмагесте" содержится 124 точно датированных астрономических наблюдений, и достаточно небольшой выборочной проверки, например с помощью доступных компьютерных программ-планетариев, чтобы убедиться в наивности таких попыток. КНФ считают, что большинство наблюдений могли быть зачем-то вычислены позднейшими фальсификаторами истории и подделаны под древность и предлагают датировать звездный каталог. Датировку звездного каталога КНФ предлагают провести по собственному движению звезд, открытому Э.Галлеем на основе сравнения все того же "Альмагеста" с современным ему каталогом (сама идея такой датировки и первый результат - каталог несомненно античный, принадлежит Ю.А.Завенягину [5]).
Поскольку датировка звездного каталога
"Альмагеста" Клавдия Птолемея занимает весьма важное место в системе доказательств
"новой хронологии" я решил постараться проследить весь путь рассуждений,
приведший КНФ к средневековой дате. Я буду часто поступать не вполне логично
- почти на каждом шаге не соглашаться с утверждениями авторов, доказывая
их сомнительность, но, тем не менее,
чтобы добраться до конца, принимать их в ущерб истине, и анализировать
следующий шаг.
Ошибки и описки
Звездный каталог "величайшего" (арабское 'Аль Маджисти') труда Клавдия Птолемея включает 1028 звезд (точнее 1025 объектов, поскольку 3 звезды дублируются, и есть еще туманности).
Птолемей перечисляет звезды по созвездиям, переходя от созвездий северного неба к северным зодиакальным созвездиям, затем к южным зодиакальным и затем к остальным видимым южным звездам. Каждую звезду Птолемей идентифицирует по ее положению в фигуре созвездия, например "передняя из трех звезд на поясе" Ориона (в современных обозначениях дельта Ориона). Для каждой звезды приводится долгота и широта (эклиптикальные координаты) в виде целой и дробной частей градуса (0, 1/6, 1/4, 1/3, 1/2, 2/3, 3/4, 5/6). Таким образом, точность измерений теоретически может быть лучше половины цены деления, то есть +/-5 мин (лучше, потому что отсчеты идут чаще 10' - 1/4 =15' и 3/4=45'), а не 10' как несколько раз настаивают в книге КНФ, утверждая, что это "заявленная точность" (заявленная кем? Птолемей таких заявлений не делал). Однако на небе не нарисована координатная сетка, а опорные координаты известны во времена Птолемея были с некоторой погрешностью. Кроме того, ниоткуда не следует, что приводимые дроби совпадали с рисками отсчетов на армиллярной сфере, с помощью которой, как утверждается, проводились измерения (Птолемей называет этот прибор астролябией, но в наше время это имя закрепилось за другим изобретенным в средневековье арабским инструментом, совсем другого вида).
Альмагест был первоначально написан унциальным шрифтом на греческом языке. Цифры обозначались заглавными буквами. И только такое написание позволяет объяснить причину многих ошибок в звездном каталоге. В каталоге приведены координаты 1028 объекта, для каждого приведены долготы, широты и звездная величина. Такой обширный числовой материал мы вряд ли найдем в каком другом античном сочинении. При копировании текста переписчик может восстановить нечетко написанные места по контексту, для чисел же никаких зацепок нет. Сопоставление разных рукописей позволяет вычленить такие ошибки. Сравнение ошибок в греческих, арабских и латинских рукописях однозначно показывает, что первичны греческие, затем арабские и только затем позднесредневековые латинские, переведенные с арабского, отличающиеся по ошибкам от переведенных с греческого. В книге Петерса и Кнобеля [6] приведены полные числовые данные из 33 рукописей и интересно было бы провести статистическое исследование разночтений, чтобы построить более подробное их, так сказать, генеалогическое дерево. Кстати, никакого "канонической версии", как утверждают КНФ нет. Петерс и Кнобель просто попытались методом сопоставления выявить ошибки разных рукописей, приводя при этом все варианты. Многочисленные арабские манускрипты исследованы Кунитшем [7].
Вот самые распространенные ошибки, обнаруженные Петерсом и Кнобелем, свидетельствующие о том, что первоначально Альмагест был написан на греческом:
1) Буква A=1 (альфа, при написании соединительный штрих идет наискосок снизу вверх - что-то среднее между русской заглавной и прописной a) путается с дельтой D=4. Это самая распространенная ошибка, она встречается в долготах 44 раза и 36 в широтах (данные Петерса). Поскольку эти же ошибки повторены и в арабских манускриптах, очевидно, что они возникли до перевода с греческого Ал-Мамуна в 827 году. Это же замечание справедливо и для других греческих ошибок.
2) Буква A=1 путается с L=30 (лямбда) такая ошибка в координатах звезд 766 и 767, и L с D
3) Другая распространенная описка: '=5 (эпсилон) путается с Q=9 (на имеющихся манускриптах видно, как иногда рога эпсилон почти смыкаются, и эпсилон становится очень похожа на тету. Встречается 12 раз в долготах и 5 в широтах.
4). Примерно в 9 веке греческая K=20 (каппа) стала писаться с зазором между вертикальной чертой и углом, в результате она легко путалась с I<, то есть Иота=10 и 1/2 (для половинки кроме беты со штрихом в греческой системе существовал и специальный значок похожий на < . Поэтому во многих рукописях для звезд 179, 277, 441, 572 вместо I<G ' =10+1/2+1/3=10;50' стоит KG'=20;20'
5) Более редкая путаница: N (nu)=50 и H (ета)=8
6) Большая путаница с дробями - пропадание штриха, в результате дробь превращается в целое число градусов. Петерс называет число таких ошибок неисчислимым.
7) Путаница в написании дроби 2/3 для которой существовало специальное обозначение G и под горизонтальной чертой малая бета-b, или сокращение 'o'. При этом дробь легко спутать с 5/6 =1/3+1/2= Gb
Очень полезен анализ арабских рукописей, так как после перевода в 9 веке на арабский, тексты стали жить как бы двумя жизнями, и ошибки при переписывании стали множиться параллельно, но независимо. Сопоставление арабских и греческих рукописей позволяет такие ошибки вычленять. Известны два независимых арабских перевода. Заметно, что все арабские рукописи добавляют гораздо меньше ошибок в числовых данных и меньше разнятся в числах - арабские переписчики, поднаторевшие в переписывании Корана, были аккуратнее греческих. Для арабских букв, которые раньше также использовались для записи чисел существенное значение имеют диакретические знаки - разные точки и черточки. Так, пропуск маленькой точки над числом превращает 18 в 58 (буква для 1 и 5 отличается только точкой). Точкой же различаются буквы для 3 - Джим и для 8 - Ха. Ошибки вызывают и близкие по написанию 9-Та и 20 - Kaf. 30-Лам также при некотором написании становится похожа на 10 и 50 (различаются, как и 1 и 5 точкой). Путаются За-7 и Вав-6. Все эти ошибки очень своеобразны и непохожи на греческие.
При переводе с арабского на латынь, Герард Кремонский для 1 звезды в Б.Медведице, 5 в Драконе, 8 в Цефее, 9 в Геркулесе, 6 в Лире и 6 в Лебеде вместо 60 с чем-то градусов записал в широтах (!) 300 с чем-то. Причина состоит в том, что в разных арабских системах буква Син означала, либо 60 (Нески или обычный арабский), либо 300 (Магриб, африканский) а Герардо учился арабскому от Мавров.
Однако самый главный источник погрешностей каталога другой - это случайные и систематические ошибки измерения с помощью подробно описанной Птолемеем армиллярной сферы. Армиллярная сфера представляет собой достаточно сложный прибор, состоящий из системы подвижных и фиксированных колец. Об этих ошибках, и о возможных причинах их возникновения поговорим подробнее позже.
После краткого и достаточно тенденциозно написанного исторического введения КНФ приступают к общему обзору звездного каталога [4, Глава II]. При этом авторы совершенно напрасно абсолютизируют вполне естественное спиральный порядок описания созвездий, принятый Птолемеем, считая, что он имел какое-то отношение к процедуре измерения.
Разделяя каталог на части, КНФ по не вполне ясным причинам несколько отступают от порядка Птолемея. Так, Птолемей в каталоге выделяет 6 созвездий: Овен, Телец, Близнецы, Рак, Лев, Дева в "Созвездия зодиака северного неба" (в Главе 7), а оставшиеся 6 созвездий зодиака описывает в (Главе 8). КНФ зачем-то делят зодиак на две другие части [4, с. 137]: Зона ZodB: Овен, Телец, затем Зона ZodA: Близнецы-Скорпион, затем опять Зона ZodB: Стрелец - Рыбы. Такую же трисекцию проводят КНФ и по отношению к звездам южного неба. Да и сама логика разбиения уж слишком гибкая - в зависимости от желания, зоны A и B рассматриваются либо вместе с зодиакальными либо без них. Такое разбиение на части делается на основе критерия "доля плохо отождествляемых звезд": "Исходя из этого, можно принять гипотезу, что если та или иная звезда из "Альмагеста" не получила однозначного (единственного) отождествления, то ее координаты указаны в "Альмагесте" c достаточно заметными ошибками". Эта гипотеза не верна. На самом деле, как сами же КНФ и утверждают двумя абзацами выше: "Ситуация особенно усложняется, если исследуемая звезда оказывается в скоплении более или менее одинаковых по яркости звезд. Тогда может возникнуть довольно много вариантов, окончательный выбор между которыми затруднен." Именно в таких случаях чаще всего возникали разногласия между исследователями каталога. Следует отметить, что большинство отождествлений было сделано в XVII-XIX веке, когда не было компьютеров - попробуйте на бумажке пересчитать координаты нескольких тысяч звезд на начало нашей эры. Не учитывались и систематические ошибки. Более того, очень часто звезды, измеренные с очень большой погрешностью, идентифицируются однозначно (по яркости, описанию положения, названию). Из этой главы как курьез отметим два момента: 1) по указанному критерию, если не считать крошечного созвездия - Малый Конь из 4-х звезд, самым плохо измеренным созвездием северного полушария является созвездие Волопаса (Таблица 2.2, с.58); 2) звезды, которые Птолемей называет "информата", то есть не входящие в основной контур созвездия тоже измерены по мнению КНФ плохо (на самом деле в информату просто обычно входят более тусклые звезды). То есть получается, что Арктур, на котором, как мы увидим держится датировка, по обоим причинам рассматриваться не может.
В этой же главе (с.80-84) КНФ пытаются обосновать свой отказ от рассмотрения долгот. При этом авторы ссылаются на несколько скандальную книгу Р.Ньютона [8]: "Долготы не являются результатом никакого наблюдательного процесса ... Значения долгот сфабрикованы ... [33, с.249]". Такой способ цитирования весьма далек от научных норм, на самом деле Р.Ньютон утверждает, что приняв неверную скорость прецессии 1 градус в сто лет (вместо 1.39), Птолемей позаимствовал звездный каталог Гиппарха созданный на 265 лет раньше, добавив 1*2.65=2o40' ко всем долготам. Это позволяет объяснить как странное распределение дробей в значении долгот (именно это имеет в виду Р.Ньютон, утверждая, что долготы в том виде, как они приведены в Альмагесте не являются результатом наблюдений и "значения долгот сфабрикованы только что описанным способом"), так и отличие долгот в среднем на 1 градус 2.65*(1.39-1.00)=1.03. "Распределение дробных частей градуса в долготах вместе со смещением по долготе убедительно показывает, что долготы получены прибавлением 2o40' к некоторому множеству долгот, измеренных за 2 2/3 века до эпохи каталога Птолемея." [8, с.253]. На самом деле существуют и альтернативные объяснения: 1 градус - это как раз ошибка в долготе солнечной теории Птолемея, а ведь именно по Солнцу определял Птолемей долготы опорных звезд, а необычное распределение долгот могло получиться после прибавления долгот опорных звезд, ведь долготы Спики, Альдебарана и Антареса как раз оканчиваются на 2/3=40'. Обсуждение всех за и против версии плагиата Птолемея заинтересованный читатель найдет в работах [9,10,11]. Кстати спор этот имеет очень давнюю историю и, как мы видели, восходит еще к трудам арабских астрономов и к основательным исследованиям Деламбра. Довольно странно, что приступая к написанию книги в хорошо исследованной области, КНФ не взяли на себя труд ознакомиться хотя бы с малой частью весьма многочисленных современных работ, посвященных Альмагесту и его звездного каталога - это позволило бы им избежать многих ошибок.
Другой аргумент - долготы измерены
много хуже широт. Это просто неверно. Если взять только звезды зодиака,
которые измерены лучше всего, то после отбрасывания координат с очень большими
выбросами - вероятный результат описки, у меня получилась среднеквадратичная
погрешность для широт 20', а для долгот 22' (в точном согласии с расчетом
Р.Ньютона [8], если же учитывать все, а не только зодиакальные
звезды, получается 23' и 25' (надо только не забыть при расчете домножить
разницу долгот на косинус широты, чтобы учесть неравномерность долготной
координаты). Я не буду подробно останавливаться на необоснованности отбрасывания
половины числовых данных, содержащихся в каталоге (долгот) и тезису о якобы
неоднозначном определении начала отсчета долгот - об этом см. [12].
На время пропустим Главу III, где КНФ критикуют альтернативные попытки датировки Альмагеста, и обратимся к Главе IV - "Кто есть кто?". Эта маленькая глава довольно важна для нашего детективного расследования - в ней устраняются три важные свидетеля древности каталога. КНФ предлагают не рассматривать три звезды с большим собственным движением. Утверждается, что идентификация этих звезд зависит от датировки каталога.
Попробуем разобраться. Я не буду здесь демонстрировать сложные расчеты, а предлагаю просто посмотреть на карты областей звездного неба, которые говорят сами за себя.
На всех рисунках звезды изображены пятнами с размерами, пропорциональными их яркости. Четырехзначные числа означают номер звезды в каталоге ярких звезд (Bright Star Catalogue). Контурные круги - звезды из каталога Птолемея. Трехзначные числа - традиционные номера звезд по Байли в этом каталоге. Слева показывается интересующий нас участок неба при традиционной датировке каталога (130 г.н.э.), справа для 950 г.н.э. - середины заявляемой авторами НХ датировки (600-1300 г.г.). Во всех случаях долготы звезд каталога Птолемея пересчитаны, чтобы компенсировать прецессию.
Сначала посмотрим на участок неба в созвездии Пегаса.
![]() |
![]() |
Конечно, к 1200-ому году звезда BS8697 подойдет еще ближе к 327-й Птолемея, чем в 950-ом, однако даже в этом случае идентификация по совокупности звезд созвездия останется однозначной: звезда Птолемея #327=BS8717. В противном случае звезда BS8717 остается сиротой.
Посмотрим теперь на три звездочки в созвездии Треугольника. Координаты, даваемые Птолемеем, и словесное описание: "передняя из трех на основании, средняя из них, задняя из трех", не оставляют места для разночтений.
![]() |
![]() |
Но все КНФ ничтоже сумняшеся
пишут:
"Звезда i-660 идентифицируется
со следующими звездами "Альмагеста": A=360 (от 1800 до 1900 г.н.э.), A=361
(до 1800 г.н.э.)"
Здесь явно перепутаны #360 и #361. Остается задаться вопросом: авторы всерьез считают, что звездный каталог "Альмагеста" мог быть составлен после 1800 года? (Даже в этом случае идентификация по совокупности звезд будет однозначной).
Вот мы и подошли к главному. Зачем авторам понадобились такие странные натяжки? Ответ прост: чтобы заодно дискредитировать быструю звезду Кейд (o2 Эридана). Ведь одной этой звездочки уже достаточно, чтобы снять все сомнения в древности каталога. А ведь выбрасывание только ее одной выглядело бы подозрительно.
![]() |
![]() |
"Звезда o2
Эридана (40 o2
Eri,
i=1325) может быть идентифицирована со следующими звездами "Альмагеста":
A=778 на промежутке от 1100 г. до н.э. до 800 г.до н.э.; A=779 на промежутке
от 700 г. до н.э. до 800 г.н.э.; A=780 на промежутке от 900 г.н.э. до настоящего
времени."
Да, далеко ушел Кейд к 10 веку, но попытка привязать его к звезде Птолемея #780 не проходит. Сиротой остается #779 (в одной из статей КНФ предлагают ее отождествить со звездой 6.3 звездной величины BS1362, которая при малой высоте Эридана над горизонтом, из-за поглощения в атмосфере вообще не видна). Без пары остаетcя и BS1298. Вот такие манипуляции.
И снова об ошибках
Мы подошли к разбору Главы V "Анализ систематических ошибок звездных конфигураций". Самое время поговорить о возможных причинах возникновения погрешностей в определения координат звезд каталога.
В противоположность утверждению КНФ о том, что "измерение долгот - дело существенно более сложное, чем измерение широт (требующее помимо прочего наличия часов)", свидетельствующему о том, что авторы даже не прочитали книгу о которой пишут, Клавдий Птолемей мог измерять и долготы и широты одновременно с помощью армиллярной сферы и без помощи часов. Как рассказывает сам Клавдий Птолемей в Альмагесте, измерения координат всех звезд проводились в два приема. Сначала измерялись абсолютные координаты нескольких опорных звезд [1, VII,2]. В предыдущих главах трактата Птолемей излагает теорию движения Солнца, основанную на наблюдениях равноденствий и солнцестояний, которую он в основном позаимствовал у Гиппарха. Таким образом Птолемей мог вычислить долготу Солнца в любой момент времени. Оставалось лишь измерить разность долгот между опорной звездой и Солнцем. Но днем не видны звезды, а ночью звезды! Птолемей находит изящное решение - и до и после захода может быть видна Луна. Измерив угол между Солнцем и Луной незадолго до захода, выставив при этом на армиллярной сфере кольцо эклиптики по Солнцу, а затем разность долгот между Луной и звездой через полчаса после наступления темноты, и, учтя несложным образом смещение и параллакс Луны, Птолемей получал долготу. С помощью другого кольца с визирами можно было сразу же измерить широту. Хотя в процедуре и заложена оценка интервала времени между двумя измерения относительно Луны, большая точность здесь не требуется. Процедура измерения координат звезд относительно опорных существенно проще! Достаточно по известным координатам опорной звезды настроить армиллярную сферу, то есть тем самым к небу систему координат и можно начинать массовые измерения, вращая только два кольца армиллярной сферы и считывая на лимбах значения долгот и широт. Ясно, что процедура измерений координат опорных звезд довольно сложна и неизбежно приводит к появлению больших погрешностей в абсолютных координатах. Поскольку Птолемею требовалось выбрать опорные звезды для наблюдения всех звезд каталога, которые бывают видны в разные времена годы, то и измерения опорных звезд не могли быть проведены за один раз, то есть при однократно фиксированной настройке армиллярной сферы. Понятно, что ошибки в определении координат опорных звезд и в установке прибора на опорную звезду потом входят как систематические погрешности в координаты всей группы звезд измеренные в одной серии наблюдений. Поскольку процедура измерений всех координат в серии при уже ориентированной армиллярной сфере очень проста и связана с вращением лишь двух из семи колец прибора, относительные погрешности будут малы! Логично допустить, и это подтверждают исследователи каталога [13, 14], что в основном измерения происходили по созвездиям. То есть относительные координаты звезд в каждом созвездии достаточно точны, хотя абсолютные координаты демонстрируют большие систематические погрешности. Все это не только теоретические рассуждения! Недавно наблюдения Птолемея были повторены с помощью реконструированной армиллярной сферы и подробный отчет о результатах наблюдений с анализом возможных причин всех погрешностей опубликован [15].
Этого простого факта кажется не поняли КНФ. Поэтому они и не поняли, что их способ, датировки, основанный на попытке учесть все систематические ошибки малого числа опорных звезд, гораздо хуже и грубее, чем простое наблюдение за изменением координаты быстрых звезд относительно ближайших соседей из того же созвездия. И мы это увидим.
Петерс и Кнобель [6] обнаружили,
что если построить зависимости усредненных погрешностей широт и долгот
в зависимости от долготы, получится кривая, напоминающая синусоиду. В этом
нет ничего удивительного! Армиллярная сфера состоит из шести колец, со
сложными кинематическими связями. Каждая из нижеописанных погрешностей
приводит к синусоидальному распределению ошибок со своей фазой, подробные
выражения можно найти в работе [10]:
1. Погрешность в определении географической
широты места (ошибка в установке оси
прибора на полюс);
2. Погрешность в установке армиллярной
сферы по меридиану;
3. Погрешность в установке меридионального
кольца по вертикали;
4. Неперпендикулярность широтного
кольца кольцу эклиптики;
5. Погрешность в фиксации наклона
экватора к эклиптике;
6. Погрешность в долготе опорной
звезды;
7. Эксцентриситет эклиптического
кольца;
8. Эксцентриситет широтного кольца;
Кроме того, подобное синусоиде
распределение могло легко возникнуть и случайным образом, для этого при
малом числе опорных звезд достаточно, две из них, с долготами, различающимися
примерно на 180o имели бы погрешности в широтах разного
знака. Понятно, что отделить все эти причины не представляется возможным.
КНФ смогли придумать только одну причину - неточная ориентация полюса эклиптики. Однако такое элементарное объяснение не проходит из-за кинематических связей. При этом наблюдаемой фазе широтных синусоид в десятки градусов должна соответствовать гигантская ошибка такого же порядка в долготах. Впрочем, КНФ долготы игнорируют и поэтому для них это не является препятствием. Кроме того, порядок ошибок в положении точки весеннего равноденствия (около 1 градуса) и наклона эклиптики (около 10') можно установить из текста Альмагеста независимым образом.
Тем не менее, существование синусоидальной систематической ошибки является фактом, и ее действительно стоит постараться учесть, не вдаваясь в причины ее возникновения, если опираться на абсолютные координаты. Однако надо всегда помнить, что может быть еще множество других систематических ошибок, своих для каждого созвездия и для каждой группы звезд привязанной к одной опорной звезде. Для датировки следует учитывать также, что широты звезд хотя и гораздо медленнее, чем долготы, но меняются со временем из-за изменения наклона эклиптики примерно на 8' за 1000 лет, и следовательно и амплитуда и фаза систематической широтной ошибки будет зависеть от даты наблюдения.
Для каждой из придуманных ранее зон КНФ рассчитывают регрессионнными методами амплитуды и фазы синусоид g(t)и f(t). Я повторил все расчеты и у меня есть существенные замечания, как по процедуре отбрасывания звезд, так и по оценке погрешностей оценивания, но я не буду подробно на этом останавливаться, поскольку, как оказывается, эти данные в последующем никак для датировки не используются. Стоит заметить, что параметры систематических ошибок для всех областей оказались близки и перекрываются в пределах погрешностей их оценивания [4, Рис. 6.3-6.9]. Особенно близки ошибки для хорошо измеренных звезд северного полушария - зачем же тогда были все игры с делениями на зоны? Это видно и из [4, Таблица 6.2], если исправить в ней опечатку, заменив плюс на минус для f в первой колонке. Очень четко надуманность деления проявляется при анализе КНФ каталога Тихо Браге. Остается только восхищаться аккуратности и дотошности дотелескопических наблюдений этого астронома. Мне стало просто обидно за него, когда я прочитал "Поэтому, несмотря на многочисленные усовершенствования и высокую точность изготовления своих приборов, Тихо добился точности измерения, сравнимой по порядку, с точностью "Альмагеста" (2'-3' вместо 10'-15' [точнее сказать 15'-25' М.Г.])" [4, стр 193]. Такое может написать лишь тот, кто абсолютно ничего не понимает в технике измерений. Чтобы понять достижение Браге, представьте, что у Вас во столько же раз возросли денежные доходы, во сколько у него возросла точность измерений. Это принижение понятно, ведь хочется доказать, что каталоги разделяет всего лет сто. (В последних книгах авторы "новой хронологии" дописались уже до отождествления Тихо Браге с Гиппархом. Видимо они полагают, что в обсерватории Ураниборг на острове Вен, которая съедала ощутимую часть бюджета датского королевства, была машина времени. Только так можно объяснить странное желание Браге (1546-1604) читать о своих достижениях под псевдонимом Гиппарх в трех сохранившихся экземплярах Альмагеста из библиотеки обсерватории, на одном из которых, изданном в Базеле в 1551 году рукой Браге - еще студента надписано за какую цену и когда он его купил.) И гистограммы ошибок, и все рассчитанные КНФ кривые систематических ошибок (порядка 1' !) для разных зон у Тихо практически совпадают [4, стр 195-200]. Точнее сказать, графики f(t) для зон восточного полушария отличаются только знаком от графиков для зон западного полушария, мне кажется здесь виноват не Тихо а КНФ, поскольку, почему-то, у них фаза f(t) скачет при переходе через 90 или -90 градусов, хотя она должна меняться в диапазоне от 0 до 360 или от-180 до -180 градусов.
Несколько моментов, которые следует
запомнить из этого раздела:
1) Погрешности измерения координат
для звезд южного неба заметно больше (они наблюдались низко над горизонтом),
а систематические ошибки вероятно отличаются, поэтому для датировки по
абсолютным координатам они использоваться не могут;
2) наилучшее представление об общей
систематической ошибке дает анализ звезд зодиакальных созвездий, поскольку
они достаточно равномерно распределены по долготе и только для них выполняются
условия при которых были выведены регрессионные формулы. КНФ почему-то
предпочитают брать только половину зодиакальных звезд ("ZodA"), впрочем
различия при такой вольности будут невелики;
3) ни
для одной "зоны", ни для какого года, величина фазы синусоиды широтных
ошибок у Птолемея не приближается к 0o и лежит в районе
-20o для "хороших" зон и еще меньше для "плохих";
Далее КНФ пытаются посмотреть насколько хорошо проявляют себя разные созвездия при учете найденной ими ранее систематической ошибки, и тут их подстерегает первая незадача - оказывается для многих созвездий найденная систематическая ошибка вовсе не является оптимальной и отличие от оптимальной нередко достигает нескольких угловых минут. Более того, для некоторых созвездий учет глобальной найденной систематической ошибки даже ухудшает среднеквадратичное значение погрешности [4, Таблица 6.6]. И это не удивительно - для измерений звезд в созвездиях использовались разные опорные звезды, а синусоидальная ошибка проявляется только после усреднения по большому числу звезд. Поясню немного изобретенный КНФ критерий типа: "50% звезд зоны A имеют погрешность менее 10' ". При переводе на обычный язык теории ошибок, это утверждение эквивалентно тому, что стандартное отклонение (погрешность) в зоне A равна 15', что примерно соответствует действительности. При этом четверть звезд будут иметь погрешность даже менее 5', но это вовсе не значит, что именно эти звезды измерялись тщательнее, чем остальные.
Ловкость рук
Наконец мы переходим к главной для всей новой датировки части - обсуждению и обоснованию "информационного ядра", под которым, как это следует из рассуждений на странице 111 понимаются опорные звезды ведь только у них Птолемей (или Гиппарх) измерял абсолютные координаты. К сожалению, Птолемей не указал прямо какие опорные звезды он (Гиппарх) использовал для составления каталога. Сообщается лишь о двух - Спике и Регуле с помощью которых иллюстрируется процедура измерения. Отыскание таких звезд представляет собой важную и интересную задачу для исследователей звездного каталога, и некоторые шаги в этом направлении уже сделаны. Самый обещающий способ - анализ распределений систематических ошибок по созвездиям и по более мелким группам звезд. Особенно большую информацию дает анализ ошибок в долготах, которые КНФ игнорируют. Ведь из-за выбранного Птолемеем метода измерения, именно погрешности долгот опорных звезд должны иметь наибольший разброс и непосредственно переходить в групповые ошибки каталога. Созвездия с близкими средними погрешностями группируются в зоны, которые не имеют никакого отношения к зонам КНФ [14]. Другой путь основан на идее, сходной с идеей Р.Ньютона. Если к измеренным относительным координатам Птолемей добавлял потом долготу опорной звезды, то распределение дробей в долготах будет отличаться от естественного. Получается, что наиболее вероятными кандидатами на роль опорных кроме Спики и Регула являются Антарес, Альдебаран и Фомальгаут.
Птолемей совершенно четко говорит о том, что в качестве опорных он выбирал "яркие звезды вблизи средней окружности зодиака" [1, VII, 3] - и это понятно, угловые долготные расстояния от Луны удобнее измерять для звезд вблизи эклиптики, но более важно то, что настроить армиллярную звезду на звезду с большой широтой было бы затруднительно и из-за неравномерности долгот (вблизи полюса эклиптики 360 градусов долготы вообще превращаются в точку) погрешность измерений относительно такой высокоширотной звезды будет в 1/cos(b) раз больше (b - широта). Оказывается, что у Птолемея есть и более прямые указания на опорные звезды! В Альмагесте приводится довольно много наблюдений планет. И их координаты Птолемей измерял точно также с помощью опорных звезд. И названия этих звезд Птолемей приводит (на это обратил внимание А.И.Захаров). Для наблюдений в Скорпионе и Стрельце Птолемей использует Спику, в Козероге Антарес, в Водолее, Рыбах, Овне, Тельце - Альдебаран (самая яркая или блестящая из Гиад, как ее называет Птолемей), в Близнецах - Альдебаран или Регул, в Раке, Деве, Льве - Регул. Нет оснований думать, что для звезд Птолемей использовал какие-то другие звезды. Нет наблюдений планет в Весах. Возможно, что для них и для некоторых других наблюдений весеннего неба использовался Фомальгаут. Эта звезда указана в каталоге даже дважды в Водолее и в Южной Рыбе как начало воды и звезда во рту, однако широта ее несколько великовата -20 1/3 градусов.
Мы переходим к ключевому моменту. Внимательно следите за руками. Здесь КНФ проявляют ловкость достойную Давида Копперфильда. Естественно у них есть собственное мнение по поводу методов измерения Птолемея и, игнорируя его слова, они выделяют в качестве "информационного ядра" каталога именные звезды, т.е. те, которые в Альмагесте имеют собственные имена, еще точнее те, в описании которых встречаются слово 'называемая' - [4, стр.53]. Утверждается, что составитель должен был измерять их наиболее тщательно. Таких звезд по утверждению КНФ 12 (110,149, 222, 288, 452, 469, 509, 510, 553, 818, 848, 892). На самом деле, Птолемей словом 'называемая' выделяет не 12, а 24 объекта. Правда, нигде в тексте не утверждается, что измерения их координат проводились тщательнее, чем у остальных звезд, кроме, разве, Регула и Спики.
Таблица 1
|
(по Байли) |
|
|
(Bright Star Catalogue) |
|
| 110 | Арктур | Arcturus | 5340 | -0.040 |
| 149 | Лира | Vega | 7001 | 0.030 |
| 222 | Коза | Capella | 1708 | 0.080 |
| 227 | I-Козлята | Hoedus II | 1641 | 3.170 |
| 228 | II-Козлята | Haedi | 1612 | 3.750 |
| 388 | Орел | Altair | 7557 | 0.770 |
| 390 | I-Гиад | Hyadum I | 1346 | 3.650 |
| 391 | II-Гиад | Hyadum II | 1373 | 3.760 |
| 392 | III-Гиад | ----- | 1411 | 3.840 |
| 393 | Яркая Гиад | Aldebaran | 1457 | 0.850 |
| 394 | V-Гиад | Ain | 1409 | 3.530 |
| 449 | Ясли | M 44 | ----- | Туманность |
| 452 | I-Ослята | Asellus Bor. | 3449 | 4.660 |
| 453 | II-Ослята | Asellus Aus. | 3461 | 3.940 |
| 469 | Регул | Regulus | 3982 | 1.350 |
| 494 | I-Волосы | ----- | 4737? | 4.360 |
| 495 | II-Волосы | ----- | 4640? | 5.660 |
| 496 | III-Волосы | ----- | 4789? | 4.810 |
| 509 | Виндемиатрикс | Vindemiatrix | 4932 | 2.830 |
| 510 | Колос | Spica | 5056 | 0.980 |
| 553 | Антарес | Antares | 6134 | 0.960 |
| 818 | Пес | Sirius | 2491 | -1.460 |
| 848 | Процион | Procyon | 2943 | 0.380 |
| 892 | Канопус | Canopus | 2326 | -0.720 |
Уже из этого списка следует, что за словом 'называемая', ничего кроме традиции не стоит.
Манипуляция I: КНФ игнорируют Гиады (Альдебаран, напомню, Птолемей явно называет как опорную при наблюдении планет) и Козлят, оставив Козу и самого слабенького северного Осленка, не замечаются именные Волосы и Ясли. Итак, осталось 12.
Манипуляция II : КНФ обращаются к уже обсуждавшейся таблице [4, Таблица 6.6]. На основании того, что найденная общая систематическая ошибка для окружения "cамой яркой из всех звезд, называемой Псом" - Сириуса и Орла-Альтаира резко отличается от реальной, звезды безжалостно отбрасываются. Непонятно только какое отношение должны иметь ошибки звезд окружения к самим опорным звездам. На самом деле, измерять координаты звезд относительно близкой опорной неудобно, и как показывают измерения координат планет, окружение опорной могло измеряться относительно другой, более удаленной опорной звезды. Примечательно, что выброшенные звезды указывали бы по методу КНФ на древние даты.
Манипуляция III (скрытая) : В указанной таблице отсутствует Процион. КНФ утверждают, что не включили его в таблицу из-за малочисленности его окружения. Но ведь отказ его рассматривать еще не означает, что ситуация с ним обстоит лучше чем с предыдущими двумя. Мои оценки показывают, что он, следуя логике КНФ тоже должен быть отброшен.
Манипуляция IV:
На основании принадлежности к "плохой"
зоне D выкидывается Канопус. Но ведь Процион тоже из "плохой зоны" C. Никакие
ссылки на близость к эклиптике не проходят - если звезда измерялась также
как и остальные в группе, у нее будут такие же ошибки, если же нет,
то не имеют смысла предыдущие манипуляции. Впрочем, о Канопусе говорить
как об опорной просто смешно - его широта -75 градусов и виден он был очень
низко над горизонтом всего несколько зимних месяцев .
Манипуляция V:
"Хороший" Виндемиатрикс выкидывается
потому, что в его широте присутствует в вариантах очевидная описка - вместо
15 1/6, 16 градусов.
КНФ даже не замечают, что последовательно выкидывая "именные" звезды на основании "плохости" зоны или окружения они полностью противоречат своей гипотезе (и опровергают ее, если посчитать погрешности изгоев), что "именные" звезды, а не зоны Птолемей измерял особенно тщательно. Попутно рушится и тезис, что синусная кривая систематической ошибки описывает все погрешности каталога. Налицо явная подгонка данных под желаемый ответ. Все это очень похоже на стандартный метод фокусников - вынужденный выбор. Допустим нужно заставить зрителя выбрать нужную монету из трех. Зрителя просят сначала выбрать 2, если нужная монета не выбрана, зрителю предлагают 2 указанные просто отложить в сторону, в противном случае, предлагают сделать повторный выбор, но уже из двух монет. Далее очевидно. Соль здесь, также как в методике КНФ - постоянно меняющиеся необъявленные заранее правила игры.
Что же нас заставили выбрать? Арктур, Вега, Капелла, Аселли (Северный), Регул, Спика, Антарес, Процион.
С Арктуром ситуация анекдотична. Как КНФ "показали", его окружение-Волопас самое плохое из всех созвездий в зоне A [4, стр 58] и почти во всем северном полушарии. Кроме того, он принадлежит к выкинутой при анализе информате! Не напоминает ли это пререкание соседок: "Во-первых, я горшок не брала, во-вторых, я его вернула целым, в-третьих, когда я его брала - он уже был с трещиной". Кроме того, надобность в опорной звезде с практически той же долготой, что и у Спики (177 и 176 2/3) не прослеживается. Широта Арктура слишком велика - 31 1/2, что явно противоречит утверждению Птолемея. Упорство с которым КНФ цепляются за Арктур и Процион достойно умиления. При рассмотрении каталога Тихо Браге они также своевольно вставляют их в "информационное ядро", хотя датчанин явно указывает 21 использованную опорную звезду (замечу в скобках, что ко времени Браге собственные имена получили уже большинство ярких звезд, и если быть последовательным, то в "информационное ядро" пришлось бы включить примерно четверть каталога). К проколу та же политика привела в случае с Гевелием! Датировка, на которой особенно внимание не акцентируется, получается 16-ым веком, вместо конца 17 [4, Рис. 9.19], для оправдания которой КНФ пришлось изобретать обвинение Гевелия в плагиате у Браге.
Вега совершенно непригодна для использования в качестве опорной (ее широта 62 градуса), великовата широта у Капеллы, Аселли слишком тусклая. Если не учитывать бесполезную Вегу (если учитывать, ситуация сильно не меняется), окажется, что оставшееся "информационное ядро" покрывает лишь 150 градусов по долготе. Как в этом случае Птолемей измерял звезды весеннего неба остается загадкой.
Но и это не все. Манипуляции продолжаются, и правила игры меняются снова.
Если параметры не устраивают, тем хуже для параметров.
КНФ долго считали систематические ошибки для разных временных интервалов и разных зон, а теперь предлагают нам воспользоваться произвольными постоянными значениями: "Поскольку составляющая g этой ошибки меняется слабо при изменении t от начала нашей эры до средних веков, а к изменению f картина мало чувствительна, возьмем значение g=21' и f=0 градусов". В результате получается следующий график - аналогичный [4, рис. 7.13]. Именно этот график является ключевым. "Статистический" и "геометрический" метод являются лишь математизированной оболочкой. Здесь и ниже я привожу графике в той же форме, как они даются в книге, хотя мне и непонятно, зачем рисовать именно модули, да и горизонтальная шкала в веках от 1900 года неудобна для восприятия. По вертикальной оси везде отложено отклонение широты от расчетной в угловых минутах.

На графике видно только, что определяющую роль играет Арктур (#110) лишь он выбивается за уровень 15'. Процион тоже движется быстро, но он не противоречит традиционной датировке при большой погрешности южных звезд. И вот только на этой острой галочке Арктура и строится вся датировка КНФ, как бы они не пытались запутать читателя. Об этом же свидетельствует и их график [4, рис.7.9]. Все остальные медленные звезды на графике почему-то вроде тоже движутся (хотя на самом деле из-за изменения наклона эклиптики меняются их широты).
Но ведь это прямая фабрикация результата! Даже этот график, если забыть, что при отборе данных был допущен полный произвол - жульничество! Нетрудно понять, что выбирая такие, независящие от времени значения параметров, закладывается априорная информация (из-за изменения угла наклона эклиптики параметры зависят от времени). Значение g=21' соответствует 550 году, а f=0 вообще не реализуется, но также дает тенденцию к омоложению каталога. Очевидно, что широта Арктура нечувствительна к g при f=0и 180o (а долгота Арктура 177o градусов, а sin(177o)=0.05), но чувствителен к f, другая быстрая звезда Процион (L=891/6), наоборот, чувствительна к g и нечувствительна к f. Оказывается достаточно положить f=-50o, чтобы Арктур стал удовлетворять времени Птолемея при реальной погрешности 15'. КНФ утверждают что удаление Арктура не меняет оценку - это происходит, как легко видеть потому, что остается специально подобранный Процион (при этом правда умалчивается, что в диапазон датировок попадет и древняя дата).
Если честно считать систематическую ошибку для каждого года картина меняется довольно радикально!

Я считал систематическую ошибку по всем зодиакальным звездам. Я оценил по формулам КНФ погрешность оценивания параметра g для зодиакальных звезд [4, формула 5.5.6, стр 132] - она получилась чуть больше угловой минуты, что и не удивительно, кривая очень четкая и используется порядка 400 звезд (точность должна улучшаться примерно как корень из числа звезд). Авторов как раз должно было насторожить, почему у них погрешности для g и f получаются по выборкам так велики? Впрочем, они вроде берут довольно бессмысленные вероятностные интервалы 0.99, и даже 0.998 (2.6 - 3 стандартных отклонения), пытаясь, видимо, убедить читателя в необычайной точности и достоверности их метода. Вообще-то, обычно, если погрешность эксперимента оценивается по систематической ошибке - это свидетельствует о некорректной постановке эксперимента, либо о некорректной его обработке (чаще всего так пытаются оправдать неудачный исход эксперимента, когда получается не то что ожидалось). Возвращаясь к графику, можно увидеть, что Антарес, Спика, Регул, Аселли являются просто топором в датировочной каше. Основную роль играет Арктур и довольно малую - медленные Процион, Капелла и Вега. При фиксированных параметрах КНФ галочка Арктура указывает клювом на ноль ординат в 980-ом году, при честных параметрах, рассчитанных по зодиаку на 740-ом, а если по зоне A, в которой он находится (не пропадать же работе) то в 650-ом. Но главное даже не это, об Арктуре мы поговорим отдельно. Хорошо видно, что гипотеза о 10' точности абсолютных измерений координат именных звезд не соответствует действительности и для специально отобранных звезд..
Считаем сами
На самом деле метод датировки по абсолютным координатам вовсе не является безнадежным! И борьба с систематическими ошибками при этом методе для повышения точности тоже полезна. Необходимо только четкое понимание, что экспериментально обнаруженная систематическая ошибка проявляется лишь в результате усреднения по большой выборке звезд, а локальные групповые ошибки могут сильно от нее отличаться. Поэтому и адекватный результат может быть получен лишь в результате корректного статистического усреднения датировок по многим быстрым звездам. Можно подойти к задаче и другим, математически более строгим образом, рассматривая неизвестную дату как сигнал, заложенный в координатах быстро движущихся звезд. В этом случае, применяя теорию обработки случайных сигналов,можно найти оптимальную фильтрующую функцию (вес каждой звезды при этом оказывается пропорционален ее скорости). Однако оба подхода приводят к одинаковым итоговым выражениям, и первый способ нагляднее.
Вот как выглядит тот же график для 13 самых быстрых по широте (>1' в 100 лет) северных звезд каталога "Альмагеста" (19,32,110,125,146,180,196,247,261,265,279,360,527); Горизонтальная линия соответствует разумной оценке погрешности абсолютных координат 18' после компенсации систематической синусной ошибки (для северных звезд ярче 6-й величины у меня получилось значение 18.4, ярче 5-й - 17.5).

Оценить погрешность достаточно легко. Она для каждой звезды просто равна отношению средней погрешности 18' к скорости изменения широты. А оценка времени соответствует пересечению нуля ординат. Группировка галочек вблизи античных дат очевидна. Выбиваются лишь Арктур и Йота Персея. Уместно отметить, что непопадание какой-то звезды в предел среднеквадратичной погрешности ничего не означает. Вероятность такого события достаточно велика и составляет около 0.33.
Таблица 2
| # в каталогу Птолемея (по Байли) | Датировка, Ti | Погрешнось оценки, si |
| 19 | -513 | 1249 |
| 32 | -1289 | 1497 |
| 110 | 759 | 476 |
| 125 | -174 | 1417 |
| 146 | 95 | 1413 |
| 180 | -1193 | 1011 |
| 196 | -3714 | 2107 |
| 247 | -734 | 923 |
| 261 | -8 | 993 |
| 265 | 190 | 941 |
| 279 | 649 | 1591 |
| 360 | -769 | 1667 |
| 527 | -505 | 770 |
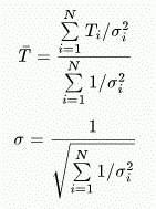
(Прошу прощения за незначащие цифры, я не стал заниматься округлением - это результат компьютерного вывода). Корректно складывая оценки и погрешности по формулам теории ошибок, получаем:
T= -85+/-270
Раздельный учет систематической ошибки по разным частям каталога, в частности и по зонам КНФ, позволяет несколько уточнить оценку, но я не буду этого делать, поскольку любое разбиение требует серьезного обоснования.
Учет всех, а не только самых быстрых северных звезд (для южных звезд я взял рассчитанную оценку погрешности 25') позволяет несколько улучшить оценку:
T= -100+/-200 (-99+/-197)
На самом деле, если быть совсем строгим, то я не учитывал самые медленные звезды, которые передвигаются за всю эпоху возможной датировки на величину меньшую ошибки округления - на 5' за 2000 лет, они могут наоборот ухудшить оценку. Всего в датировке таким образом участвовало 119 звезд.
Проверим насколько устойчива оценка, для этого выбросим вышеописанные 13 самых быстрых северных звезд. Точность, естественно, ухудшается, но середина интервала почти не смещается!
T= -120+/-290
Эта оценка находится в полном соответствии
с результатом А.К.Дамбиса и Ю.Н.Ефремова [15] (-81+/-147
по широтам, -109+/-226 по долготам и -89+/-122 при объединении этих оценок),
полученном независимым образом из анализа относительных координат групп
звезд. Таким образом, можно достаточно уверено утверждать, что звездный
каталог Клавдия Птолемея не только не является средневековым, но более
того, в значительной мере заимствован им у какого-то предшественника, вероятно
Гиппарха. Однако полностью отрицать участие Птолемея в составлении звездного
каталога тоже нельзя. Тем более, что как недавно было показано в работе
[16] на основе
эффекта атмосферной рефракции, самые южные звезды каталога несомненно наблюдались
на широте Александрии и во время Клавдия Птолемея во II веке н.э.
В своей датировке я не пытался достичь
минимальной погрешности, я хотел лишь проследить логику КНФ. Их метод достаточно
прост, надежен и консервативен, если очистить его от бессмысленных гипотез,
и применять честно и последовательно. Если бы удалось с достаточной
степенью уверенности идентифицировать опорные звезды каталога и выделить
группы созвездий привязанные к ним, точность такой датировки можно было
бы заметно повысить. Другой путь - искать систематические ошибки по созвездиям,
должен, видимо, в конечном итоге дать тот же результат, что и метод
Дамбиса-Ефремова.
Этот "особенный" Арктур
Мы убедились, что вся датировка Альмагеста 600-1300 г.н.э., полученная КНФ, строится только на положении единственной звезды - Арктура. Сам метод датировки звездного каталога по собственному движению звезд был предложен Ю.А.Завенягиным в письмах А.Т.Фоменко [17] и в статье [5]. При этом, используя координаты той же самой звезды Арктура, Ю.А.Завенягин получил классическую дату. В дальнейшем метод датировки по собственным движениям звезд был развит в статьях Ю.Н.Ефремова [20,19,16], что позволило доказать, что звездный каталог в своей основе был составлен, как и предполагали многие историки астрономии, еще раньше, примерно в 130 г. до н.э. Гиппархом, и Арктур в них анализировался в первую очередь. Можно вспомнить еще и то, что Эдмунд Галлей открыл собственное движение звезд именно анализируя координаты Альмагеста. И величина скорости им была оценена верно в предположении древности каталога. Может возникнуть некоторое недоумение: как Арктур позволяет получить одновременно и античную и средневековую датировку? Попробуем разобраться.
Построим на одной и той же звездной карте настоящие положения звезд на 950 год (середина датировки КНФ) и звезды Альмагеста (серый цвет). Карта получена с помощью программы-планетария StarCalc А.Завалишина [21] и написанного автором plugin-а для демонстрации звезд Птолемея. При этом приходится подобрать поправку к долготам, поскольку, по странной логике, КНФ считают, что все долготы были средневековым автором зачем-то переведены на античное равноденствие.

Казалось бы, Арктур Альмагеста (звезда #110 по нумерации Байли) прекрасно накладывается на звезду a Волопаса. Именно на этом наложении и построена датировка КНФ. Параметры же "синусоидальной систематической ошибки" подобраны, как мы видели, так, что при долготе Арктура 177o, эта поправка составляет менее 1 угловой минуты. Более внимательное знакомство с картой заставляет усомниться в верности датировки КНФ даже только по Арктуру. Получается, что Арктур один идет "в ногу", а все остальные звезды "не в ногу", то есть имеют существенно большую систематическую ошибку, а именно, все яркие звезды Волопаса в каталоге Птолемея лежат правее и ниже своего правильного положения. А ведь собственное движение Арктура как раз и направлено сверху вниз (практически точно по широте). Если построить такую же картинку для даты Птолемея (130 г.н.э.), систематические ошибки становятся существенно более однородными.
Можно ли придать этим соображениям более формальный, численный характер? Всего в созвездии Волопаса Птолемеем описано 23 звезды. Из них 9 тусклых имеют 5-ю звездную величину. Тусклые звезды часто измерены в каталоге заметно хуже, кроме того, 4 из них в Волопасе отождествляются неоднозначно (#99-#102). Более яркая у Птолемея звезда #97 отождествляется также неоднозначно. Вот что пишет об этой звезде в своем фундаментальном исследовании каталога Петерс и Кнобель [6] "Петерс, Пирс и Шьелеруп идентифицируют эту звезду как h Короны, что согласуется с описанием, но положение лучше согласуется со звездой x Волопаса, принятой Боде, Хальма, Деламбром и Манитиусом. Байли колебался между отождествлением h и o Короны". Однако совокупный блеск двойной звезды Короны всего около 5, что намного слабее сообщаемого Птолемеем значением "ярче 4". Другие кандидаты еще слабее. Кроме того, при отождествлении с h-Короны у этой звезды получается огромная погрешность в долготе, больше 1.5 градуса. Вероятно мы имеем дело здесь с какой-то ошибкой самого Птолемея (или Гиппарха). Ну и, наконец, в одном из арабских манускриптов, для этой звезды указана другая широта - 46 1/6 вместо 46 1/2, правда эта поправка ничуть не проясняет картину. Самая удаленная от Арктура звезда #96 в каталоге описана дважды, она же входит в каталог под номером #147 (так она обозначена и на карте) при описании созвездия Коленопреклоненного (Геркулеса), как "Звезда на конце правой ступни, тождественная со звездой на конце палицы Волопаса". Ее ошибка измерения не похожа на ошибки в Волопасе, и похожа на ошибки в Геркулесе в котором вероятно она и измерялась. Именно яркие звезды Волопаса формируют на небе узнаваемый контур созвездия в виде каштанового листа (#92, #93, #94, #103, #104, #105, #110). В номенклатуре Птолемея это звезды на теле Волопаса. Оставшиеся звезды: #95 - палица и #106-109 - ноги Волопаса. Все эти звезды отождествляются совершенно однозначно.
Посмотрим, как меняется со временем угловое расстояние Арктура до этих звезд (точнее разность между этим расстоянием, рассчитанным из координат Альмагеста и из координат звезд на рассматриваемую дату). Это именно тот способ, который предлагался Ю.А.Завенягиным. Нетрудно оценить, что погрешность датировки для каждой пары равна погрешности измерения углового расстояния деленной на величину проекции скорости движения на прямую, соединяющую звезды. Замечательно то, что для выбранных звезд эта величина варьируется незначительно, поскольку все яркие звезды расположены почти вдоль направления движения Арктура. Исключение составляет лишь звезда #106, которая, расположена практически перпендикулярно направлению движения и потому не влияет на датировку. Датировку получить довольно просто. Очевидно, середина интервала есть среднее от значений, в которых кривые пересекают ось абсцисс - 104 г.н.э. Погрешность каждой датировки оценивается как погрешность в расстоянии беленая на скорость его изменения (около 4' за 100 лет). Для того чтобы оценить погрешность расстояния, просто его посчитаем для 104 г.н.э, составив все возможные 66 пар. Получим 14.6'. Теперь надо все оценки по разным кривым усреднить, но так как в каждую оценку входят координаты Арктура, усредняться будут только погрешности координат звезд окружения, и следовательно итоговая погрешность будет чуть больше, чем примерно в корень из 2-х уменьшенная единичная оценка. Окончательно получаем датировку: 100+/-260 лет. Из изложенного следует два вывода: 1) Арктур не является какой-то особенной звездой, и его координаты соответствуют античной дате написания каталога, хотя и не позволяют сделать однозначный вывод в пользу авторства Птолемея. 2) Относительные координаты ярких звезд в созвездиях, как я и утверждал измерены лучше чем абсолютные (около 10' по каждой координате), что понятно - после фиксации армиллярной сферы с некоторой погрешностью с помощью опорной звезды, в координатах которой заключены свои погрешности, дальнейшие измерения координат проводятся по простой и единообразной процедуре.

Критика оборачивается против критиков
Теперь мы можем вернуться к пропущенной Главе III, где КНФ обрушиваются на своих оппонентов, пытаясь доказать негодность их методов датировки Альмагеста. Забавно, но вся критика оборачивается против самих авторов и все контрпримеры указывают на античность.
Прежде чем критиковать оппонентов, КНФ сначала тренируются на себе. Придумывается парочка способов и якобы показывается, что они не работают.
Сначала выбираются 9 самых быстрых
звезд каталога, и для каждой рисуются участки звездных карт, подобные тем,
что я приводил, с компенсированным прецессионным изменением долготы. Несмотря
на вся попытки, мне не удавалось воспроизвести эти результаты, пока я не
обнаружил главную причину. Оказывается, КНФ просто неправильно считают
собственное движение звезд! Дело тут вот в чем - в каталоге ярких звезд,
которым пользовались КНФ скорость собственного движения по прямому восхождению
приведена к экватору, то есть домножена на косинус склонения. Это
сделано для того, чтобы дать реальное представление об угловой скорости
движения звезды, иначе, например, Полярная звезда превратилась в одну из
самых быстрых. В результате исходные расчетные формулы на стр.38 [4] просто
неверны (скорость va в них разделить на cos(d)), Соответственно
не верны не только расчеты, но и многие иллюстрации в этой главе. К счастью
для КНФ на движении Арктура и Проциона эта ошибка сказывается мало, их
склонение невелики. Но это не единственная ошибка в этой главе. Например,
совсем непонятно, почему медленные звезды BS5909 и BS5913 носятся по небу
почти с той же скоростью как действительно быстрая g
Ser на рис. 3.8, такое же недоумение можно высказать и насчет карты с o2
Eri, которую мы уже обсуждали. Возможно, КНФ просто забыли, что координаты
у звезд сферические, и перпендикуляры на проекциях надо рисовать с осторожностью.
Путь g Ser по КНФ |
Реальный путь g Ser |
В следующей таблице я привожу
свои расчеты, а в скобках расчеты Фоменко.
| Звезда (# Байли) | Время наибольшего сближения (КНФ) | Минимальное расстояние (КНФ) | Погрешность 30'/v |
| a Boo (#110) | 860 (900) | 15' (40) | 790 |
| a CMa (#818) | -340 (400) | 8' (10) | 1350 |
| a CMi (#848) | 2800 (1000) | 13' (20) | 1440 |
| o2 Eri (#779) | -380 (50) | 18' (40) | 490 |
| h Cas (#180) | -1800 (-1100) | 4' (40) | 1470 |
| i Per (#196) | -600 (9700) | 28' (70) | 1420 |
| t Cet (#723) | 140 (220) | 36' (15) | 940 |
| g Ser (#265) | -500 (700) | 40' (80) | 1370 |
Как видно, все обстоит гораздо лучше чем при неверном расчете. И звезды подходят ближе и кучность результатов выше. Я не очень представляю зачем КНФ изобрели такой более чем странный способ датировки, видимо для того, чтобы его тут же опровергнуть, и как именно им надо правильно пользоваться, но, как и прежде в лоб усредняя (как оценку индивидуальной погрешности в этом бульоне я взял консервативные 30'), получаем датировку -30+/-330.
Точно также и по тем же причинам неверны и картинки в следующем контрпримере, где к тем же быстрым звездам зачем-то примешиваются медленные, зато "именные".
И вот, наконец, нечто реальное! КНФ начинают считать относительные расстояния [4, п.3] и немедленно получают античные даты! Все быстрые звезды (Арктур, Процион, Сириус) на их графике 3.13 сверху недвусмысленно указывают на древность каталога! Правда КНФ опять настаивают на примате "именности" и тем самым игнорируются многие быстрые звезды и лишают метод относительных расстояний всех преимуществ, считая расстояния не между ближайшими звездами, как это делали Ю.Н.Ефремов, Е.Д.Павловская [19], но яркими звездами, раскиданными по всей сфере. И несмотря на все это, результат очевиден! Чтобы его дискредитировать они идут на статистическое преступление - грубо находят среднеарифметическое между всеми кривыми, приготавливая блюдо с кониной и рябчиком из расчета один конь на одного рябчика графике 3.13 сверху. Понять суть такого усреднения очень просто - допустим мы измерили длину дома рулеткой (Арктуром) с точностью в 1 см и шагами (Капеллой) с точностью в 0.5м, по мнению КНФ мы в результате узнали длину с точностью в (50+1)/2 = 25.5 см.
На следующем графике я привожу тот же самый расчет, но для всех звезд каталога, скорость движения которых составляет больше 2' за 100 лет. Расстояние я считал не относительно разбросанных по небу ярких звезд, а относительно всех ближайших соседей, расположенных на расстоянии меньшем 20o (хотя может быть правильнее и точнее считать по созвездиям, но некоторые созвездия слишком малочисленны).

Вопросов о древности каталога при
взгляде на этот график не остается. А вот корректно оценить датировку непросто.
Дело в том, что этот метод все же не очень хорош. Часть звезд окружения
расположены на пути движения, и для них расстояния меняются сильно, а часть
на датировку никак не влияют и ухудшают точность (направление на них перпендикулярно
направлению движения), зато позволяют оценить погрешность в группе. Можно
существенно улучшить ситуацию, складывая при усреднении в группе, погрешности
с весами, пропорциональными проекции скорости быстрой звезды на направление
на звезду окружения. Тем не менее, в среднем относительные скорости в большой
группе вокруг быстрой звезды будут более ли менее одного порядка и поэтому
усреднение здесь не является такой большой ошибкой, как в случае сложения
усреднения КНФ кривых, но неудачные конфигурации возможны (а в случае с
Арктуром нам наоборот повезло и почти все звезды группы лежали по направлению
движения). Именно поэтому Ефремову и Павловской пришлось прибегнуть к процедуре
компьютерного моделирования, критикуя которую, КНФ демонстрируют явное
непонимание проблемы. При этом читателю почему-то пытаются внушить мысль,
что такое моделирование является якобы способ каким-то искусственным
способом уменьшения погрешностей. Такие сложности и привели в конечном
итоге к отказу от такого способа датировки, и разработке математически
корректной и хорошо оцениваемой процедуре [16]. Тем не менее, попробую
и здесь сделать числовые оценки. Думаю ошибусь не слишком сильно. Как середины
датировок выбираю минимумы кривых, а интервалы находятся из условия возрастания
погрешности в корень из двух раз.
| # Байли | Ti | si |
| #57 | -150 | 1400 |
| #110 | 300 | 650 |
| #200 | -350 | 1800 |
| #196 | -700 | 1650 |
| #247 | -800 | 1600 |
| #265 | -450 | 950 |
| #527 | -150 | 750 |
| #723 | -350 | 600 |
| #779 | -150 | 550 |
| #818 | 1100 | 1700 |
| #848 | 800 | 2100 |
Статистически усредняя, получаем оценку (кажется слишком загрубленную): -130+/-270.
Далее авторы выдвигают несколько совершенно необоснованных претензий к своим предшественникам, суть которых состоит все в том же непонимании разницы между точностью абсолютных и относительных измерений и того, что несколько независимых оценок дают вместе лучшую точность, чем одна. КНФ ложно приписывают авторам работы [19] утверждение о том, что они датировали своим методам каталог Улугбека с точностью в 3 года (хотя речь идет просто о случайном совпадении с такой точностью середины интервала оценки, точность которой около 240 лет), опять поднимают вопрос о "неоднозначности" идентификации звезды o2 Эридана, и опять демонстрируют непонимание разности между точностью абсолютных и относительных измерений, критикуя датировку Альмагеста Завенягина и манипулируя произвольными числами.
Я кажется исчерпал все расчеты, которые КНФ делали по поводу звездного каталога Альмагеста и везде при аккуратном и непредвзятом расчете получал традиционные даты и даже указание на то, что ядро каталога Альмагеста составляет более древний каталог Гиппарха. Как курьез только еще можно указать попытку провести датировку по долготам с помощью все того же "информационного ядра" из 8 звезд [4, c.176]. Дело в том, что самая быстрая звезда "ядра" имеет составляющую собственного движения по долготе мало отличимую от нуля. Естественно, ничего вразумительного по такому "ядру" сказать не удается. Между тем, выбор нескольких быстрых по долготам звезд позволил бы легко справиться с задачей, но вот датировка получилась бы не той, какую бы видеть авторам.
Остается только ответить на некоторые другие претензии, предъявляемые КНФ к Альмагесту.
1. В рамках одного созвездия Птолемей старался перечислять звезды в порядке увеличения долгот. Именно поэтому первой звездой в Малой Медведице стоит современная Полярная звезда - a Umi, а не чуть более близкая во время Птолемея к полюсу b Umi. Вот как идут долготы для звезд Малой Медведицы: 60 1/6, 62 1/2, 70 1/6, 89 2/3, 93 2/3, 107 1/2, 116 1/6, 103. Интересно отметить, что последняя слабая звезда не входит в основной контур созвездия у Птолемея и может быть ее координаты даны не зря - именно она была ближайшей к полюсу во время Птолемея (указано А.И.Захаровым).
2. Латинское издание Альмагеста 1537 года, на которое со слов Н.А.Морозова часто ссылаются КНФ, истории не известно. Это, вероятно, одно из многих отдельных учебных изданий звездного каталога, специально приведенное для практического использование по равноденствию на дату публикации (как об этом и сообщается на титульном листе), оказавшееся в Пулковской библиотеке. Звездный каталог издавался отдельно многократно и раньше первого Венецианского издания Альмагеста 1515 года, например в составе Альфонсинских таблиц.
3. А.Дюрер не был безграмотным художником, нарисовавшим для красоты некоторые фигуры созвездий кверх ногами. Точно так же они нарисованы на глобусе Фарнезе, в каталоге Ас-Суфи и описаны в поэме Арата и других работах древних авторов. Дюрер был не только прекрасный гравер, но и хороший ученый-геометр. Интерес к астрономии у Дюрера появился после знакомства с известным астрономом и комментатором Альмагеста Региомонтаном, после смерти которого Дюрер поселился в его доме. Звездные карты были подготовлены в сотрудничестве с известными учеными И.Стабием и К.Хейнфогелем. Приводить вслед за Морозовым как довод Пегаса, видимого в перевернутом виде в стрельчатом окне может только тот, кто это огромное созвездие, протянувшееся более чем на 60 градусов никогда на небе не видел. И голова и передние ноги Коня (именно так он назван у Птолемея), бегущего вокруг Полюса, определяются по расположению звезд однозначно. Возможно, что совсем в древности у Коня были и задние ноги, превратившиеся потом в созвездие Андромеды. Древние вряд ли придумывали контуры созвездий, разглядывая их через узенькие оконца, куда вероятнее лежа на шкурах на земле.
Я ограничился лишь рассмотрением
вопросов связанных со звездным каталогом Альмагеста, которые КНФ считают
основными, хотя рассмотрение других "анализируемых" в книге [4] астрономических
явлений - покрытий звезд планетами и лунных затмений не меньше говорит
об уровне астрономической подготовки авторов. В заключении остается выразить
лишь сожаление по поводу настойчивости и самоуверенности с которой уважаемый
академик вторгается в совершенно неизвестные ему области знаний. Если самая
"научная" книга по новой хронологии состоит из одних натяжек и передержек,
что можно сказать о других?
Литература:
1. Клавдий Птолемей, Альмагест, М., Наука, 1998.
2. В.А.Бронштэн, Клавдий Птолемей, М., Наука, 1988.
3. R.R.Newton, Ancient planetary observations and the
validity of Ephemeris time, London, 1976.
4. В.В.Калашников, Г.В.Носовский, А.Т.Фоменко, "Датировка
звездного каталога "Альмагеста"", Москва, "Факториал", 1995.
5. Е. С. Голубцова, Ю. А. Завенягин, "Еще раз о "новых
методиках" и хронологии древнего мира", Вопросы истории. 1983, N12, с.68-83.
6. C.H.F.Peters, E.B.Knobel, Ptolemy's Catalogue of
Stars, a Revision of the Almagest, Washington, 1915.
7. P.Kunitzsch, Ptolemaus C. Der Sternkatalog des Almagest.
Die arabisch-mittelalterliche Tradition, Teil I,II, Wiesbaden, 1986, 1990.
8. Р.Р.Ньютон, Преступление Клавдия Птолемея, М.,Наука,
1985.
9. G.Grasshoff, The history of Ptolemy's star catalogue,
Springer-Verlag, 1990.
10. J.Evans , "On the Origin of Ptolemy's Star
Catalogue", Journal for the History of Astronomy, 1987, v.18, p.155-172,
233-278.
11. N.M.Swerdlow, "The Enigma of Ptolemy's Catalogue
of Stars", Journal for the History of Astronomy, 1992, v.23, p.173-183.
12. Ю.Н.Ефремов, Ю.А.Завенягин, "Астрономия
и хронология", Вестник РАН N12, 1070, 1999.
13. M.Shevchenko, "An analysis of errors in the star
catalogues of Ptolemy and Ulugh Beg", Journal for the History of
Astronomy, 1990, v.21, p.189-201.
14. J.Wlodarczyk, "Notes on the compilation of Ptolemy's
catalogue of stars", Journal for the History of Astronomy, 1990, v.21,
p.283-295.
15. J.Wlodarczyk, "Observing with the armillary astrolabe",
Journal for the History of Astronomy, 1987, v.18, p.173-195.
16. A.K.Dambis, Yu.N.Efremov, "Dating Ptolemy's Star
Catalogue through proper motions: the Hipparchan Epoch", Journal for the
History of Astronomy, 1990, v.21, p.283-295.
17. А.И.Захаров, "Датирование звездного каталога "Альмагеста"
по величинам входящих в него южных звезд", http://www.pereplet.ru/pops/zakh/almagest.html
18. Письма А.Ю.Завенягина к А.Т.Фоменко по поводу
"новой хронологии", из архива Е.А.Завенягиной http://hbar.phys.msu.su/gorm/fomenko/zavlet1.htm
19. Ю.Н.Ефремов, Е.Д.Павловская, "Определение эпохи
звездного каталога "Альмагеста" по анализу собственных движений звезд (К
проблеме авторства звездного каталога Птолемея), Историко-астрономические
исследования 1989, М.Наука,1989, с.164.
20. Ю.Н.Ефремов, Е.Д.Павловская, "Датировка "Альмагеста"
по собственным движениям звезд", Доклады Академии наук СССР 1987,
Том 294, N2
21. http://www.relex.ru/~zalex/main1251.htm